Lehmer defined a measure
![]()
where the
may be either integers or rational numbers in a Machin-like formula for
. When the
are integers, Lehmer’s measure can be used to determine the computational efficiency of the given Machin-like formula for
. However, because the computations are complicated, it is unclear if Lehmer’s measure applies when one or more of the
are rational. In this article, we develop a new algorithm for a two-term Machin-like formula for
as an example of the unconditional applicability of Lehmer’s measure. This approach does not involve any irrational numbers and may allow calculating
rapidly by the Newton–Raphson iteration method for the tangent function.
1. Introduction
In 1706, the English astronomer and mathematician John Machin discovered a two-term formula for
[1–3]
| (1) |
that was later named in his honor. This formula for
appeared to be more efficient than any others known by that time. In particular, due to the relatively rapid convergence of the right-hand side of (1), he was able to calculate 100 decimal digits of
[1]. Nowadays, identities of the form
| (2) |
where
and
are either integers or rational numbers, are called the Machin-like formulas for
. Consequently, a two-term Machin-like formula for
is given by
| (3) |
If in equation (3) the constants
and
are some positive integers and
, then the unknown value
can be found as [4, 5]
| (4) |
Furthermore, since we assumed that
and
are positive integers, from equation (4) it immediately follows that
must be either an integer or a rational number.
In 1938, Lehmer [6] introduced a measure (see also [7])
| (5) |
showing how much computational effort is required for a specific Machin-like formula for
. In particular, when
is small, then less computational effort is required and, consequently, the computational efficiency of this formula is higher. Lehmer’s measure is smaller if there are fewer summation terms
and the constants
are larger in magnitude. For more efficient computation, the constants
should be larger by absolute value, since it is easier to approximate the arctangent function as its argument tends to zero (see [7] for more details).
It is also important to emphasize that in the same paper [6] Lehmer presented a few Machin-like formulas where some of the
are not integers but rational numbers. This signifies that Lehmer assumed that his measure (5) remains valid whether the
are integers or rational numbers.
In 2002 Kanada [8], using the following self-checking pair of Machin-like formulas for
,
![]()
and
![]()
computed more than 1 trillion digits of
. These two examples show that the Machin-like formulas have colossal potential in the computation of decimal digits of
.
In 1997, Chien-Lih showed a remarkable formula [9]
![]()
with
. According to Weisstein [10], this Lehmer’s measure is the smallest known value for the
consisting of integers only. Later Chien-Lih [11] showed how Lehmer’s measure can be reduced even further by using an Euler type of identity in an iteration for generating the two-term Machin-like formulas like (3) such that
and
are rational numbers.
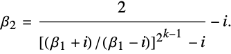
In [12], we derived the following simple identity (see also [13])
| (6) |
where
and
, and described how using this identity, another efficient method for generating the two-term Machin-like formula for ![]()
| (7) |
with small Lehmer’s measure can be developed. In this approach, the constant
can be chosen as a positive integer such that
| (8) |
and, in accordance with equation (4), the constant
in equation (7) can be found from
| (9) |
It is not reasonable to solve equation (9) directly to determine the rational number
, as its solution becomes tremendously difficult with increasing integer
. However, this problem can be effectively resolved by using a very simple two-step iteration procedure discussed in the next section. Therefore, our approach in generating the two-term Machin-like formula (7) for
with small Lehmer’s measure is much easier than Chien-Lih’s method [11].
Wetherfield [7] provides a detailed explanation clarifying the significance of Lehmer’s measure that shows how much computation is required for a given Machin-like formula for
when all the constants
. However, it is unclear if this paradigm is also applicable when at least one number
is rational. More specifically, the problem that occurs in computing the two-term Machin-like formula for
in Chien-Lih’s [11] and our [4] iteration methods is related to the rapidly growing number of digits in the numerators and denominators of
or
. This occurs simultaneously with an attempt to decrease Lehmer’s measure. As a result, the subsequent exponentiation in conventional algorithms makes computing the decimal digits of
inefficient. Therefore, the applicability of Lehmer’s measure for a Machin-like formula for
for the case
is questionable. For example, Lehmer’s measure may be small, say less than 1. This means that less computational work is needed to calculate
. However, due to the large number of digits in the numerators and denominators in
or
, a computer performs more intense arithmetic operations that make the runtime significantly longer. Consequently, we ask, Is Lehmer’s measure still applicable when at least one constant from the set
is not an integer but a rational number?
Motivated by an interesting paper in regard to equation (7) that was recently published [14], we further develop our previous work [4, 5]. In this article, we propose a new algorithm showing how unconditional applicability of Lehmer’s measure for the two-term Machin-like formula (7) for
can be achieved. We also describe how linear and quadratic convergence to
can be implemented.
2. Preliminaries
As mentioned, the number of summation terms
in equation (2) should be reduced in order to minimize Lehmer’s measure. Since at
there is only one Machin-like formula for
,
| (10) |
we consider the case
. We attempted to find a method that can be used to generate a two-term Machin-like formula for
with small Lehmer’s measure. Equation (7) provides an efficient way to do this.
In fact, the original Machin formula (1) for
appears quite naturally from the equations (7), (8) and (9) at
. Specifically, equation (8) provides

Substituting into equation (9) results in
![]()
Consequently, at
we get the constants
,
and
in equation (7). Since the arctangent function is odd (
), the constants for equation (3) can be rearranged as
,
,
and
. This corresponds to the original Machin formula (1) for
.
Theorem 2.1.

The proof for Theorem 2.1 can be found in [10].
Lemma 2.2
Proof
As we can see from the four cases given in Theorem 2.1, the largest possible value for
is
and it occurs at
(see the example above). Therefore, for any integer
at integer
, the constant
in the equation (7) cannot be an integer. □
Theorem 2.3.

Proof
This is the simplest kind of Ramanujan nested radical and its proof is straightforward. Let
. Then
![]()
Squaring both sides,
![]()
and solving results in two possible solutions,
and
. Since for any positive index
the value
is always positive, we exclude the solution
. □
Lemma 2.4.

Proof
The proof follows immediately from Theorem 2.3 since
![]()
Lemma 2.5.

Proof
Using equation (8) that defines
by the floor function, the limit can be rewritten as
![]() |
(11) |
By definition, the fractional part given by the difference
![]()
is positive and cannot be greater than 1. Therefore, the limit (11) can be rewritten in the form

Lemma 2.6
| We have that |
(12) |
Proof
Equation (9) is too hard to work with directly, so we start with the limit (11) from Lemma 2.5. Since the limit is 1, the limit of the ratio of the reciprocals of its numerator and denominator must also be 1,
![]() |
(13) |
From Theorem 2.3 and Lemma 2.4,

and
![]() |
(14) |
Since both the numerator and denominator in (13) tend to zero as
tends to infinity and since
as
, we can rewrite (13) as

or
![]() |
(15) |
Since equation (6) is valid for an arbitrarily large integer
, (15) implies that
| (16) |
However, we also have
| (17) |
since equation (7) is also valid at an arbitrarily large integer
. Comparing the limits (16) and (17), we get
| (18) |
Equation (18) is valid if and only if
![]()
so
, which is (12). □
Lemma 2.7.
Proof
The limit (14) implies that
| (19) |
From (12) and (19) we conclude that as
, both
and
tend to infinity. Thus, according to equation (5), Lehmer’s measure
for the two-term Machin-like formula (7) for
tends to zero with increasing
. □
Theorem 2.8
Proof
There is only one single-term Machin-like formula (10) for
such that the constants
and
are both integers. Therefore, in equation (6), at any integer
the argument of the arctangent function
cannot be represented as the reciprocal of an integer; that is,
is not an integer. Therefore,
![]()
and
![]()
This implies

or
![]()
or
| (20) |
We make (20) into an equality by adding a negative error term
such that
![]()
Defining the constant
in accordance with equation (9), we find the error term to be
| (21) |
Since
is negative, the constant
is also negative. □
3. Iteration Methods
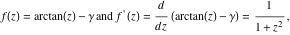
3.1 Arctangent Function
Since in equation (7) the constant
is an integer, the first arctangent function term can be computed by any existing method. For example, we can use Euler’s formula for the arctangent function
| (22) |
Chien-Lih used this formula to develop his iteration method for generating the two-term Machin-like formula for
[11] and later he found an elegant derivation of this formula [15].
We derived another series expansion of the arctangent function [5, 12]:
| (23) |
It interesting that generalizing the derivation method that was used to get equation (23), we can find by induction the identity
![]()
where
is the order of arctan function expansion; that yields simple approximations like
![]()
and
![]()
since
.
The representation (23) of the arctangent function is not optimal for algorithmic implementation, since it deals with complex numbers. Fortunately, as we showed in [4], this series expansion can be significantly simplified to
| (24) |
where the expansion coefficients are computed by iteration:

Both series expansions (22) and (24) converge rapidly and need no undesirable irrational numbers to compute
. However, the computational test we performed shows that the series expansion (24) converges more rapidly by many orders of magnitude than Euler’s formula (22) (see Figures 2 and 3 in [4]). Therefore, the series expansion (24) is more advantageous and can be taken to compute the first arctangent function term from the two-term Machin-like formula (7) for
.
The second arctangent function term in equation (7) should not be computed by straightforward substitution of the constant
into equation (24). As mentioned, computing with a ratio of numbers with many digits should be avoided. Instead, the second arctangent function term in equation (7) can be computed by Newton–Raphson iteration.
3.2 Rational 
Once the value of the integer
is chosen, it is not difficult to determine the integer
by using equation (8) with the help of Mathematica. However, determining the second constant
with (9) is very hard with increasing
, as already mentioned. To overcome this, we proposed a different method [4]. We define the very simple two-step iteration for
,
![]()
where
![]()
and
![]()
Then
| (25) |
For
, the second arctangent term in (7) deals only with a rational number
. As
increases, the number of digits in the numerator and denominator of the constant
increases. For example, at
, equation (8) yields

and using (25) we find
![]()
Consequently, the two-term Machin-like formula (7) for
is generated as
![]()
Lehmer’s measure for this two-term Machin-like formula for
is
.
However, if we take
, then

and using (25) we get

The corresponding two-term Machin like formula for
is

for which Lehmer’s measure is only
. Such a large number of digits in the numerator and denominator in the second arctangent function may look unusual. However, some formulas for
obtained from the Borwein integrals involving the sinc function can also result in ratios of integers with a large number of digits. For example, Bäsel and Baillie reported a formula for
that uses a quotient with 453,130,145 digits in the numerator and 453,237,170 digits in the denominator [16]; you can download a file with all the digits of the constant
from [17].
As we can see from these examples, Lehmer’s measure decreases with increasing
. However, that occurs simultaneously with a rapid increase in the number of digits in the numerator and denominator of the constant
. As a result, taking powers of such fractions becomes very slow. This raises the doubt that Lehmer’s measure (5) is indeed relevant for a given Machin-like formula for
when at least one coefficient
is rational.
To resolve this problem, we considered applying the Newton–Raphson iteration [18]. Specifically, we showed that each consecutive iteration doubles the number of correct digits in the second term of the arctangent function in equation (7). This method is based on the iteration formula:
| (26) |
such that
![]()
The most important advantage of (26) is that the rational number
is not involved in the computation of the trigonometric functions. As we can see from (26),
is no longer problematic because it is not taken to a power, nor is it the argument of sine or tangent, which consumes most of the runtime. Instead, it is only applied in a single subtraction. This single subtraction (that can be implemented by changing the precision) takes a negligibly small amount of time as compared to the time to compute
or
.
To reduce the number of trigonometric functions from two to one, it is convenient to put equation (26) into the form
![]() |
(27) |
using the elementary trigonometric identities
![]()
and
![]()
The tangent function can be found, for example, by using the equation

representing the ratio based on the Maclaurin series expansions for the sine and cosine functions. Alternatively, we can use the series expansion
![]()
where
is a Bernoulli number. There are several other ways to compute the tangent, like continued fractions [19, 20] or Newton–Raphson iteration again [21]. Perhaps the argument reduction method for the tangent function can also be used to improve accuracy, but we did not implement that, to keep the algorithm as simple as possible.
3.3 Tangent Function
Equation (27) is based on the Newton–Raphson iteration method. However, this iteration formula contains the tangent function. We showed [18] that once the first arctangent term is computed, the number of correct digits in
can be doubled at each consecutive step of the iteration as with the Newton–Raphson iteration method. To approximate the tangent function with high accuracy, we can apply the Newton–Raphson iteration again [21]. The derivation of the iteration-based equation for the tangent function is not difficult. Let
.
Using the Newton–Raphson iteration formula
![]()
where
![]()
we get
| (28) |
such that
![]()
Substituting
into (28) yields
| (29) |
The iteration-based expansion of the series (24) for the arctangent function converges very rapidly. Therefore, we can apply it to compute the arctangent function in equation (29).
4. Implementation
4.1 Linear Convergence
The series expansion (24) of the arctangent function can be computed as follows.
![]()
![]()
![]()
Next we define the nested radicals consisting of square roots of 2.
![]()
This computes the constants
and
for the two-term Machin-like formula (7) for
at
.
![]()
![]()
For the constant
, we use the iteration-based formula (25) instead of equation (9).
![]()
![]()
![]()
![]()
![]()
![]()
![]()
![]()
Define a function for the Lehmer’s measure corresponding to a two-term Machin-like formula (7) for
.
![]()
Here is Lehmer’s measure for the case
.
![]()
![]()
The accuracy improves with each iteration, so we do not need to use the highest accuracy at each step. At
, the Newton–Raphson iteration-based formula (29) gives 4 to 5 correct digits of the tangent function at each step. Therefore, it is reasonable to use the argument
in
, where
is taken to minimize rounding or truncation errors.
Recall that
. As an initial guess for the Newton–Raphson iteration, we choose
, since this is close to the actual value of the tangent function
.
This sets up the recurrence for
as defined in (29).
![]()
![]()

This part of the program, which computes the tangent function, takes most of the runtime. It uses the Newton–Raphson iteration built on the basis of the series expansion (24) of the arctangent function (see (29)).
This sets up the Newton–Raphson iteration formula (27).
![]()
![]()

The next part of the program invokes the value
and performs just a few arithmetic operations. As mentioned, the numerator and denominator of
contain many digits, but they are not involved in computing the tangent function. Only a minor part of the time is needed to subtract this number (see equation (27)). Consequently, Lehmer’s measure applies unconditionally.
The table shows how the values of the arctangent function gain digits at each iteration step.
![]()

This shows the linear rate of convergence to
in terms of the number of accurate digits.
![]()
![]()
![]()

After the first two iterations, each of the following iterations adds five correct digits to the approximation of
.
![]()
![]()
The convergence rate increases as Lehmer’s measure decreases, which can be readily confirmed by increasing
and readjusting the
parameter in this algorithm. No undesirable irrational numbers are needed. Furthermore, since Lehmer’s measure can be made vanishingly small, there is no upper bound in the convergence rate per iteration.
4.2 Quadratic Convergence
Consider a variation of the algorithm based on the Newton–Raphson iterations for the tangent function that can be implemented to get quadratic convergence to
. Assume that only
decimal digits of
are known at the beginning.
![]()
![]()
We determined experimentally that at
, equation (24) provides four or five correct digits of
at each successive step. Therefore, it is sufficient to take
terms. However, to exclude truncation and rounding errors, we use
terms of the arctangent function.
We define
to determine the accuracy of computation and for the number of summation terms in approximation (24) of the arctangent function.
![]()
The multiplier
was found experimentally. When
, we restrict its rapid growth to
, as we do not need extra accuracy at this stage. We add 10 to exclude truncation and rounding errors. We have taken the initial value
.
We use equation (29).

For our choice of
, here is the required index.
![]()
![]()
![]()

Once the tangent function is computed, we substitute it into equation (27). The value
has double the accuracy of
with only one iteration.
![]()
![]()
The approximate values of the arctangent function by iteration and by the built-in function
match to 100 places.
![]()
![]()
![]()
Since we got
with double the accuracy, it can now be used to compute
with significantly improved accuracy.
![]()
![]()
This shows that the number
of correct decimal digits of
doubled from 50 to 101.
![]()
![]()
More directly, this shows the complete match between the computed approximation of
and that provided by Mathematica.
![]()
![]()
![]()
![]()
The first arctangent function in the two-term Machin-like formula (7) for
can also be found by using the same algorithm based on the Newton–Raphson iteration. Consequently, this method results in quadratic convergence to
. However, unlike the Brent–Salamin algorithm (also known as the Gauss–Brent–Salamin algorithm) with quadratic convergence to
[2], our approach does not involve any irrational numbers. The number of summation terms in equation (24) and the number of iteration cycles for computation of the tangent function (29) decrease with increasing
. This can be confirmed by using the code given here. To the best of our knowledge, this is the first algorithm showing the feasibility of quadratic convergence to
without using any irrational numbers.
5. Conclusion
In this article, we presented a new algorithm to compute the two-term Machin-like formula (7) for
and showed an example where the condition
was not necessary in order to validate Lehmer’s measure (5). Since this algorithmic implementation lets us avoid subsequent exponentiation of the second constant
, this approach may be promising for computing
more rapidly without using irrational numbers.
Acknowledgments
This work is supported by National Research Council Canada, Thoth Technology, Inc., York University, Epic College of Technology and Epic Climate Green (ECG) Inc. The authors wish to thank the reviewer for useful comments and recommendations. Constructive suggestions from the editor that improved the content of this work are greatly appreciated.
References
| [1] | P. Beckmann, A History of Pi, Boulder, CO: Golem Press, 1971. |
| [2] | L. Berggren, J. Borwein and P. Borwein, Pi: A Source Book, 3rd ed., New York: Springer, 2004. |
| [3] | J. Borwein and D. Bailey, Mathematics by Experiment. Plausible Reasoning in the 21st Century, 2nd ed., Wellesley, MA: AK Peters, 2008. |
| [4] | S. M. Abrarov and B. M. Quine, “An Iteration Procedure for a Two-Term Machin-like Formula for Pi with Small Lehmer’s Measure.” arxiv.org/abs/1706.08835. |
| [5] | S. M. Abrarov and B. M. Quine, “The Two-Term Machin-like Formula for Pi with Small Arguments of the Arctangent Function.” arxiv.org/abs/1704.02875. |
| [6] | D. H. Lehmer, “On Arccotangent Relations for |
| [7] | M. Wetherfield, “The Enhancement of Machin’s Formula by Todd’s Process,” The Mathematical Gazette, 80(488), 1996, pp. 333–344. doi.org/10.2307/3619567. |
| [8] | J. S. Calcut, “Gaussian Integers and Arctangent Identities for |
| [9] | H. Chien-Lih, “More Machin-type Identities,” The Mathematical Gazette, 81(490), 1997, pp. 120–121. doi.org/10.2307/3618793. |
| [10] | E. W. Weisstein. “Machin-like Formulas” from Wolfram MathWorld—A Wolfram Web Resource. mathworld.wolfram.com/Machin-LikeFormulas.html. |
| [11] | H. Chien-Lih, “Some Observations on the Method of Arctangents for the Calculation of |
| [12] | S. M. Abrarov and B. M. Quine, “A Formula for Pi Involving Nested Radicals,” The Ramanujan Journal, 46, 2018, pp. 657–665. doi.org/10.1007/s11139-018-9996-8. |
| [13] | OEIS. “Decimal Expansion of Pi,” A000796. oeis.org/A000796. |
| [14] | Wolfram Cloud. “A Wolfram Notebook Playing with Machin-like Formulas.” develop.open.wolframcloud.com/objects/exploration/MachinLike.nb. |
| [15] | H. Chien-Lih, “An Elementary Derivation of Euler’s Series for the Arctangent Function,” 89(516), 2005, pp. 469–470. doi.org/10.1017/S0025557200178404. |
| [16] | U. Bäsel and R. Baillie, “Sinc Integrals and Tiny Numbers.” arxiv.org/abs/1510.03200. |
| [17] | S. M. Abrarov and B. M. Quine, “The Rational Number |
| [18] | S. M. Abrarov and B. M. Quine, “Efficient Computation of Pi by the Newton–Raphson Iteration and a Two-Term Machin-like Formula,” International Journal of Mathematics and Computer Science, 13(2), 2018, pp. 157–169. ijmcs.future-in-tech.net/13.2/R-Abrarov.pdf. |
| [19] | J. Havil, The Irrationals: A Story of the Numbers You Can’t Count On, Princeton, NJ: Princeton University Press, 2012. |
| [20] | M. Trott. “Continued Fraction Approximations of the Tangent Function” from the Wolfram Demonstrations Project—A Wolfram Web Resource. demonstrations.wolfram.com/ContinuedFractionApproximationsOfTheTangentFunction. |
| [21] | J.-M. Muller, Elementary Functions. Algorithms and Implementation, 3rd ed., Boston: Birkhäuser, 2016. |
| S. M. Abrarov, R. Siddiqui, R. Jagpal and B. M. Quine, “Unconditional Applicability of Lehmer’s Measure to the Two-Term Machin-like Formula for Pi,” The Mathematica Journal, 2021. doi.org/10.3888/tmj.23-2. | |
About the Authors
Sanjar M. Abrarov received a BSc degree in Physics, and CSc and PhD degrees in Physics and Engineering. He is a research scientist at the Algonquin Radio Observatory at Thoth Technology, Inc., Canada, and a senior lecturer at Epic College of Technology, Canada. He is a recipient of the Canadian Astronautics and Space Institute Alouette (2010).
Sanjar M. Abrarov
Thoth Technology, Inc.
Algonquin Radio Observatory
Achray Rd, RR6
Pembroke, Canada, K8A 6W7
abrarov@alumni.yorku.ca
sanjar@thothx.com
Rehan Siddiqui received BSc (Honours) and MSc degrees in Physics, an MEng in Power Engineering, and MSc and PhD degrees in Physics and Astronomy. He is a recipient of the Queen Elizabeth II (2015), Vernon Oliver Stong (2015) and Dr. Ralph Nicholls (2016) graduate scholarships, and of the York University Postdoctoral Fellowship (2017). He is a contract faculty and research associate at York University and a dean at Epic College of Technology, Canada.
Rehan Siddiqui
Dept. Earth and Space Science and Engineering
York University
4700 Keele St.
Toronto, Canada, M3J 1P3
rehanrul@yorku.ca
rehan@epiccollege.ca
Rajinder K. Jagpal received BSc and MSc degrees in Physics, and MSc and PhD degrees in Physics and Astronomy. He is a contract faculty and research associate at York University, Canada, and a director of Epic College of Technology, Canada. He is a recipient of the Canadian Astronautics and Space Institute Alouette (2010).
Rajinder Jagpal
Dept. Physics and Astronomy, York University
4700 Keele St., Toronto, Canada, M3J 1P3
raj@epiccollege.ca
Brendan M. Quine received BSc, PhD and DPhil degrees in Physics. He is an associate professor at York University, Canada, and a director of the Algonquin Radio Observatory at Thoth Technology, Inc., Canada. He is a recipient of the Canadian Astronautics and Space Institute Alouette (2010).
Brendan M. Quine
Dept. Physics and Astronomy
York University, 4700 Keele St.
Canada, M3J 1P3
bquine@yorku.ca




