This article proposes a new symbolic technique for offshore design technology. Several solutions deal with the design of longitudinally elastic offshore constructions. Details are discussed for a drillstem and a riser. Both symbolic and numerical solutions derived with Mathematica are applied to solve problems in offshore design technology. All symbolic approaches are based on solutions of the linear boundary problems that arise. Additionally, a new symbolic solution for the generic boundary problem is discussed in detail.
Introduction
The main aim of this article is to show how Mathematica‘s symbolic evaluation capabilities can be used for solving boundary problems in critical cases. A critical case, as usual, means a singularity problem in the mathematical sense; for instance, a boundary problem for an ordinary differential equation with special boundary conditions.
Various and similar cases appear when solving some problems that deal with the bending and longitudinal stability of constructions contained in offshore rigs, such as a drillstem and a riser.
The first singularity problem is to determine the bending deformation of a riser with classical boundary conditions.
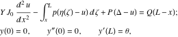
The boundary problem for a riser is formulated as follows (simplest case!):
| (1) |
The differential equation for the bending of a riser is derived from an equilibrium equation of the elastic pipe. In equation (1),
is the length of a riser,
is the bending rigidity of a riser, and
is the weight of a unit of length.
Historically the first problem concerning the stability question of weighting longitudinal elastic rods was set up by L. Euler in “Additamentura De curvis Elasticis,” from his memoir Method us inveniend i liness curvas maximi munimive proprietate guadentes (for details, see J. Todhunter and K. Pearson, History of Elasticity, Vol. 4, pp. 39-50). The memoir, published in 1744, discusses the same differential equation of equilibrium as equation (1). Unfortunately, no clear form of solutions for this equation was obtained by Euler, who proposed only a solution in series.
A singularity appears in the boundary problem (1) when
.
It is very easy to establish that the differential equation of bending degenerates when
. As such, no solution of the boundary problem using Mathematica can be found directly.
A symbolic method for solving the singularity boundary problem (1) is proposed in this article. A full set of formulas concerning bending, momentum, and stresses along a riser are derived.
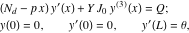
Another kind of boundary problem arises when accounting for the bending of a drillstem while drilling an oil well using a drillship. Like the problem of determining the bending of a riser, the problem of bending a drillstem leads to the classical boundary conditions, but the differential equation for the bending drillstem is nonhomogeneous. External forces (such as hydro-forces of submarine flows, waves loads, forces of tension, etc.) affect a drillstem, so new terms are contained in the right-hand side of equation (1).
The mechanical formulation of a nonhomogeneous boundary problem is given as
| (2) |
where
and
are a load on the chisel bit and the horizontal force of a drillstem tensioner located on the drillship.
In spite of the fact that there is no singularity in boundary problem (2), the nonhomogeneous boundary problem cannot be solved by Mathematica directly either.
A method for finding a solution of the nonhomogeneous boundary problem (2) by symbolic techniques is proposed in this article. A full set of formulas concerning bending, momentum, and stresses along a drillstem are derived.
Numerical solutions are presented for both problems.
1. Bending of a Riser: Symbolic Calculations
1.1. Mechanical Problem Setting
Offshore technology system design is a branch of technology where advanced mathematics is applied to real-world problems ranging from oil and gas production to highly intellectual design projects.
Mathematica is a very powerful system for dealing with mathematics in these intellectual offshore design projects and application code is implemented for several problems that occur.
Let us consider determining the bending of a riser under the loads of tension, hydroloads, and the weight of the pipe when the drillship is floating on the surface near the point of an oil well. The mechanical scheme for bending a riser, as an elastic pipe, is shown in Figure 1.

Figure 1.
We derive the equation of equilibrium for a riser from the static equation of moments.
Here is the general form of an equation of equilibrium for an elastic pipe under the loads mentioned:
| (3) |
In equation (3), these items of the moment are introduced:
is the total moment for the weight of a riser and
is the riser length.
is the moment of the hydroforces.
and
are the moments of tension and the average of the wind forces.
The boundary conditions for a riser are formulated as follows:
| (4) |
| (5) |
In the simplest case, the boundary problem obtained from equations (1) through (3) will be solved symbolically.
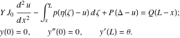
1.2. Symbolic Evaluation and Numerical Study for Bending Moment and Stresses
Let us consider a linear approach to the bending of a riser.
The linear boundary problem derived from equations (1) through (3) is written in the form [1]:
![]() |
(6) |
Code for solving the simplest boundary problem (6) is presented in Section 1.2.1.
1.2.1. Symbolic Solution for Bending a Free-Tension Riser
The first problem is to try to find a space line of bending for an autonomous riser in an accident. In an accident, no longitudinal force
is supported by a riser and the boundary problem (4) is reduced to
![]() |
(7) |
where the forces of the riser tension
and horizontal load
are ignored.
According to the main idea of this article, the static differential equation for bending a riser is derived symbolically from the first equation in (7).
The following code is for deriving a differential equation for the bending of an autonomous riser.
![]()
This code introduces the function
for bending a riser and presents the static integro-differential equation of a riser as
.
![]()
![]()
Finally, differentiation of the output on
leads us to the ordinary differential equation for bending an autonomous riser. (This is a well-known differential equation by Airy [2].)
![]()
![]()
The output is a basic differential equation of equilibrium for the bending of an elastic pipe under its own weight.
It seems at first glance that we cannot find the function for bending a riser as a solution of boundary problem (7) due to the singularity, but by using the next operator directly a solution has been obtained [3].
![]()

No singularity appears in the solution by Mathematica and no special comments are produced concerning singularities.
On the other hand, in order to solve the singularity problem, let us consider a perturbed boundary problem resulting from conditions (7) when there is a perturbation in the last equation only. The perturbation consists of adding a vanishing quantity in the last equation of the boundary conditions (7). The perturbation quantity is marked by
as follows.
![]()

Obviously, this new solution of the perturbed boundary problem is not quite right.
We can obtain a solution corresponding to the singularity problem by using a limiting procedure.
![]()

So a new symbolic solution for the singularity problem (7) is created in clear form as a function of
, which is the depth of the sea.
Now it is easy to find symbolic solutions for the bending moment and stresses along a riser.
When using a linear approximation, the bending moment and stresses along a riser are presented by [4]:
![]() |
(8) |
where
is the radius of the riser pipe and hereafter the terms “moment” and “stresses” are understood as maximum quantities.
Here is the code of the symbolic formulas for the bending moment and stresses along a riser.
![]()
As a result of the symbolic computations, a full set of general formulas for a function of the bending moment and stresses of an autonomous riser are derived.
In spite of the limiting procedure used for finding a symbolic solution of the bending of an autonomous riser, Mathematica 5.2 can solve boundary problem (1) by using the single operator
. But since nobody knows what kind of singularity problems will be met in the future, using a general method for solving the singularity problem through limit passing seems more productive to us.
1.2.2. Graphical Solution for an Autonomous Riser
Let us consider a numerical study of solutions for determining the bending function of an autonomous riser, such as moments and stresses during deepwater operation.
The family of solutions for bending a riser with changing roll and pitch angles of the drillship over the point of an oil well is determined by the following operators:
![]()

![]()
![]()
![]()
![]()
Now we introduce code for plotting graphics of the stresses.

Here are the joined graphics for the shape of a bending riser and the stresses along it.
![]()

The results obtained show that conditions can be formulated for the strength of a riser in an accident. Tensile strength, for example, is one such condition.
2. Working Phase Part 1: Drillship Pulling a Riser
2.1. Problem Setting for a Working Riser
A new boundary problem arises when trying to find the deformation and stresses of a riser in operation. Normally a riser is pulled to the work site during submarine operation. In addition to the work of drilling a well, a riser is attached to the drilling ship on a spherical hinge and loads are put on it by tensioning equipment.
Let us consider a solution for defining the space line of a riser during drilling. We can apply the same conclusion to the floating offshore rig.
Here we repeat the same code as before, but somewhat modified.
![]()
![]()
Differentiating the output with respect to
leads us to the differential equation for the bending of a riser being pulled.
![]()
![]()
eq1 is a basic differential equation of equilibrium for the bending of an elastic pipe being pulled and is a well-known homogeneous Airy differential equation [2].
We can directly find a function for bending a riser as a solution of boundary problem (4) by using
![]()
Since the output of solRiser is very large, only a short form is presented.
![]()

The same symbolic formulas in Section 1.2.1 for bending moment and stresses along a riser are used for deriving appropriate symbolic solutions.
![]()
As a result of this section, a full set of symbolic formulas for the space line of a riser being pulled, its moment, and stresses has been derived.
2.2. Graphical Solutions for a Working Riser
Let us consider a numerical simulation for the static configuration of a space line of a working riser, when
meters is the sea depth. Displacements of a drillship from the point of an oil well are changed from
to 15 meters symmetrically. Two configurations of the riser are discussed in detail. These configurations depend on the quantity of a
-force of tension.
First, we consider the problem of studying static lines of a riser being pulled when
, or in other words, when the force of tension is less than the total weight of the riser.
The following code presents graphics of the bending riser while working.

Bending stress is accounted for by the following:

This code allows us to plot graphics of the stresses along a riser:
![]()
Other simulations of the deformation and stresses of the riser are in accordance with an increase in the tension load imposed on the riser. Some simulation results are presented later. This case corresponds to the relation
.
Space lines of a working riser are defined by these operators:

![]()
Then we consider distributions of the bending moment and stresses along a riser. For example, the corresponding code allows us to get visualizations of all the necessary parameters.

![]()

![]()
A new space configuration for the riser is presented graphically. This graphics array shows a typical configuration for distributions of the bending stresses along a working riser:
![]()

Obviously, increasing the
-tension load acting on a bending riser radically changes its shape, as well as the shape of distributions of bending stresses along a riser being pulled.
As a practical result, we obtain the actual dimensions when the calculated bending stresses of a riser are increased by more than 10 times. But the tensile strength conditions for the riser are satisfied.
3. Working Phase Part 2: Horizontal Load
3.1. Bending under the Tension and Horizontal Forces: Symbolic Solution
Another boundary problem arises when you want to find the space line of a working riser if additional horizontal force acts on the upper end.
In the simplest case, a horizontal force is a force of interaction between a riser and an offshore rig, from a mechanical point of view.
Then, a static equation of the riser space configuration and boundary conditions, corresponding to the spherical hinge at the sea bottom and the kinematic angle at the surface, is given as:
![]() |
(9) |
where
is a moment of horizontal load.
Obviously, the boundary conditions for equation (9) are the same as earlier.
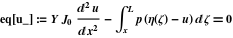
The integro-differential equation of boundary problem (9) is written in Mathematica as
![]()
![]()
As in the previous derivation, differentiating the output with respect to
leads to the differential equation for the bending of a riser:
![]()
![]()
which is a well-known nonhomogeneous Airy differential equation [2]. Unfortunately, Mathematica does not provide a direct symbolic solution for boundary problem (9), but, as shown later, can find a general solution for the differential equation in question. So new possibilities appear necessary for symbolically solving equation (9) by other means.
Boundary problem (9) will be solved by using the general solution of the derived differential equation. So let us find a general solution for the Airy differential equation.
According to the main aim of this article, a general symbolic solution of the nonhomogeneous differential equation is derived by the following code.
![]()
![]()

A convenient way to solve boundary problem (9) is to convert the output from solRiser into input and change the symbolic integration
into numerical integration as follows.
![]()

The solution of the function for bending a riser with boundary condition (9) leads us to the following system of equations for finding the unknown constants
:
![]()
![]()
![]()
Arbitrary constants according to equation (9) are found by
![]()
so that a new symbolic function is presented as a new form of the solution for boundary problem (9).
![]()
The formulas for the bending moment and stresses are the same as in Section 1.
![]()
We now have a set of symbolic formulas presenting a symbolic solution for the nonhomogeneous Airy boundary problem.
3.2. Numerical Study of Symbolic Solutions
Finally, let us consider a numerical study of the symbolic solutions for equation (9).
The following code presents solutions for:
![]()
![]()

![]()
Bending stress is accounted for by

and graphics of the stresses are presented with
![]()
Now we consider changes in the space configuration of the elastic line of a riser if increases in the tension are taken into consideration.
Simulation of the static lines of a riser are presented by
![]()

Here new static lines of a riser are obtained.
![]()
Bending stresses are taken into account by

The following graphics show the stresses along a riser.
![]()

From the graphics, we can conclude that horizontal forces move the upper end of a riser along a distance on the sea surface until equilibrium of the riser and offshore rig occurs. Displacement of the drillship from the point of an oil well is (max) about 25 meters in these cases.
Here we note that the response of a riser to a horizontal load differs significantly from that of the tension on one. The difference between the horizontal load and tension force will be much greater if the initial values of the kinematic angle
are chosen to be very close to the ultimate angle of the rolling of the drillship.
With these results, the tensile strength conditions for a riser are satisfied [1, 4] but the pulling force does not significantly change the shape of a bending riser under horizontal force, as shown in Section 2.
Conclusion
In this article, several themes are discussed in detail dealing with traditional course material for the education of engineers under the general headline of “Continuum Mechanics for Offshore Exploration.”
Engineer and bachelor educational programs cover these courses at Murmansk State Technical University (MSTU). Computer techniques based on Mathematica have been used at the University as well as in other computer algebra approaches.
Traditional courses on elasticity theory are used to introduce new themes that deal with symbolic computation for engineers.
Initial efforts made by teachers of the Continuum Mechanics and Offshore Exploration Department resulted in introducing Mathematica as a teacher’s tool at the start of the bachelor’s program. Besides the new computer algebra techniques being a valuable tool in themselves, some new nontrivial results in several branches of mechanics for offshore technology have been obtained with Mathematica.
From our point of view, symbolic techniques like those presented occupy a worthy place in the training course on continuum mechanics in the near future.
References
| [1] | A. E. Saroyan, Drilling Columns in Deep-Hole Drilling [In Russian], Moscow: Nedra, 1979. |
| [2] | G. N. Korn and T. M. Korn. Mathematical handbook for scientists and engineers, New York: McGraw-Hill, 1961. |
| [3] | S. Wolfram. The Mathematica Book, 4th ed., Champaign, Oxford: Wolfram Media/Cambridge University Press, 1999. |
| [4] | F. S. Merritt, ed., Structural Steel Designers Handbook, New York: McGraw-Hill, 1972. |
| A. N. Papusha, V. V. Shtrasser, and I. V. Fedorov, “Symbolic Evaluation of Boundary Problems for Offshore Design Technology,” The Mathematica Journal, 2011. dx.doi.org/doi:10.3888/tmj.11.1-6. | |
About the Authors
Professor Alexander N. Papusha is the Head of the Continuum Mechanics and Offshore Exploration Department at Murmansk State Technical University (MSTU). He received an M.S. in mechanics from Kiev State University in 1972 and a Ph.D. in theoretical mechanics in 1979 from the Institute of Mechanics Ukrainian Academy of Sciences, as well as a Doctor of Sciences from the Institute of Machinery (St. Petersburg) Russian Academy of Sciences in 1999. Since 1983 he has been a full professor at MSTU.
Victor V. Shtrasser is an Associate Professor in the Continuum Mechanics and Offshore Exploration Department at MSTU. He received a Ph.D. in technology and machinery of drilling oil and gas wells in 1967 from the Polytechnic Institute (Tomsk). He has been at MSTU since 1997.
Ilya V. Fedorov is a postgraduate student in the Continuum Mechanics and Offshore Exploration Department at MSTU.
Alexander N. Papusha
Continuum Mechanics and Offshore Exploration Department,
Murmansk State Technical University,
13, Sportyvnay
183010 Murmansk, Russia
www.mstu.edu.ru/structure/faculties/etf/kaf_mss
papushaan@mstu.edu.ru
Victor V. Shtrasser
Ilya V. Fedorov
Continuum Mechanics and Offshore Exploration Department,
Murmansk State Technical University,
13, Sportyvnay
183010 Murmansk, Russia
www.mstu.edu.ru/structure/faculties/etf/kaf_mss



