Computing accurate approximations to the perimeter of an ellipse is a favorite problem of mathematicians, attracting luminaries such as Ramanujan [1, 2, 3]. As is well known, the perimeter
of an ellipse with semimajor axis
and semiminor axis
can be expressed exactly as a complete elliptic integral of the second kind.
What is less well known is that the various exact forms attributed to Maclaurin, Gauss-Kummer, and Euler are related via quadratic hypergeometric transformations. These transformations lead to additional identities, including a particularly elegant formula symmetric in
and
.
Approximate formulas can, of course, be obtained by truncating the series representations of exact formulas. For example, Kepler used the geometric mean,
, as a lower bound for the perimeter. In this article, we examine the properties of a number of approximate formulas, using series methods, polynomial interpolation, rational polynomial approximants, and minimax methods.
Introduction
The well-known formula for the perimeter
of an ellipse with semimajor axis
and semiminor axis
can be expressed exactly as a complete elliptic integral of the second kind, which can also be written as a Gaussian hypergeometric function,
![]()
The quadratic hypergeometric transformations [4, 5] lead to additional identities, including a particularly elegant formula, symmetric in
and
,
![]()
where
is a Legendre function.
Cartesian Equation
The Cartesian equation for an ellipse with center at
, semimajor axis
, and semiminor axis
reads
![]()
Introducing the parameter
into the Cartesian coordinates, as
, we verify that the ellipse equation is satisfied.
![]()
![]()
Arclength
In general, the parametric arclength is defined by
![]() |
(1) |
The arclength of an ellipse as a function of the parameter
is an (incomplete) elliptic integral of the second kind.

![]()
Since
![]()
![]()
the arclength of the ellipse is
| (2) |
where the eccentricity
is defined by

Perimeter
Since the parameter ranges over
for one quarter of the ellipse, the perimeter of the ellipse is
![]()
![]()
That is,
, where
is the complete elliptic integral of the second kind.
Alternative Expressions for the Perimeter
The given expression for the perimeter of the ellipse is unsymmetrical with respect to the parameters
and
. This is “unphysical” in that both parameters, being lengths of the (major and minor) axes, should be on the same footing. We can expect that a symmetric formula, when truncated, will more accurately approximate the perimeter for both
and
.
Noting that the complete elliptic integral is a Gaussian hypergeometric function,
![]()
![]()
we obtain Maclaurin’s 1742 formula [2]
![]()
![]()
Equivalent alternative expressions for the perimeter of the ellipse can be obtained from quadratic transformation formulas for Gaussian hypergeometric functions. For example, using functions.wolfram.com/07.23.17.0106.01,

![]()
and noting that
![]()
![]()
we obtain the following symmetric formula
![]()
first obtained by Ivory in 1796, but known as the Gauss-Kummer series [2].
Introducing the homogeneous symmetric parameter
, we have (cf. mathworld.wolfram.com/Ellipse.html)
![]()
![]()
Explicitly, the Gauss-Kummer series reads
![]()
![]()
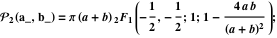
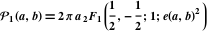
Instead, using functions.wolfram.com/07.23.17.0103.01, we obtain Euler’s 1773 formula (see also [2])


The hidden symmetry with respect to the interchange
is revealed.
![]()
![]()
Defining
![]()
we can directly check the formula.
![]()
![]()
Other Identities
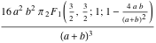
There are many other possible transformation formulas that can be applied to obtain alternative expressions for the perimeter. For example, using functions.wolfram.com/07.23.17.0054.01 we obtain the following formula
![]()
![]()
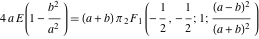
The perimeter can also be expressed in terms of Legendre functions (see Sections 8.13 and 15.4 of [6]). For example, using 15.4.15 of [6] we obtain the elegant and simple symmetric formula
![]()
![]()
Alternatively, this result follows directly from 8.13.6 of [6] with
. This form can be used to prove that the perimeter of an ellipse is a homogenous mean (cf. [7]), extending the arithmetic-geometric mean (AGM) already used as a tool for computing elliptic integrals [8].
Using functions.wolfram.com/07.07.26.0001.01 gives yet another formula involving complete elliptic integrals.
![]()
![]()
Comparisons
Here we compare the seven formulas for
,
![]()

![]()
![]()
![]()
![]()
and for
.
![]()

![]()
![]()
![]()
![]()
Numerical Approximation
At www.ebyte.it/library/docs/math05a/EllipsePerimeterApprox05.html [1] we are encouraged to search for “…an efficient formula using only the four algebraic operations (if possible, avoiding even square-root) with a maximum error below 10 ppm. It would also be nice if such a formula were exact for both the circle and the degenerate flat ellipse”.
The Gauss-Kummer series expressed as a function of the homogeneous variable
, reads
![]()
![]()
Series Expansions
The series expansion about
is useful for small
.
![]()
![]()
Around
, terms in
arise.
![]()
![]()
Using functions.wolfram.com/07.23.06.0015.0, we obtain the general term of this series (c.f. 17.3.33 through 17.3.36 of [6]),

![]()
Polynomial Approximants
Linear Approximant
From the exact values at
,
![]()
![]()
and at
,
![]()
![]()
we construct the linear extreme perfect approximant.
![]()
![]()
![]()

Quadratic Approximant
The quadratic approximant, exact at
,
![]()

![]()
![]()
has a maximum absolute relative error less than
.
![]()

-order Polynomial Approximant
Here is the
-order “even-tempered” polynomial approximant, exact at
for
.
![]()
The
-order approximant has a maximum absolute relative error less than
.
![]()

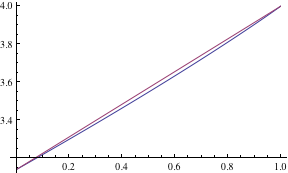
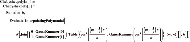
Chebyshev Polynomial Approximant
Sampling the Gauss-Kummer function at the zeros of
, which are at
, yields a Chebyshev polynomial approximant.

The
-order approximant has a maximum absolute relative error less than
.
![]()

Rational Approximation
After loading the Function Approximations Package,
![]()
we obtain a family of
rational polynomial minimax approximations.
![]()
For example, the
minimax approximation,
![]()
![]()
has (absolute) relative error at most
, but is not “extreme perfect”.
![]()

Using the linear approximant
and noting that
vanishes at both
and
leads to an optimal
extreme perfect approximant of the form
![]()
where the parameters
,
, and
need to be determined. Implementation of the approximant is immediate.
![]()
After uniformly sampling the Gauss-Kummer function,
![]()
we can use NMinimize and the
-norm to obtain the accurate approximants. For example, the (almost) optimal
approximant is computed using

![]()
leading to
![]()
![]()
This simple approximant has (absolute) relative error less than
.
![]()

Conclusions
Computing the perimeter of an ellipse using a simple set of approximants demonstrates that Mathematica is an ideal tool for developing accurate approximants to a special function. In particular:
- All special functions of mathematical physics are built in and can be evaluated to arbitrary precision for general complex parameters and variables.
- Standard analytical methods—such as symbolic integration, summation, series and asymptotic expansions, and polynomial interpolation—are available.
- Properties of special functions—such as identities and transformations—are available at MathWorld [8] and The Wolfram Functions Site [9] and, because these properties are expressed in Mathematica syntax, they can be used directly.
- Relevant built-in numerical methods include rational polynomial approximants, minimax methods, and numerical optimization for arbitrary norms.
- Visualization of approximants can be used to estimate the quality of approximants.
- Combining these approaches is straightforward and naturally leads to optimal approximants.
References
| [1] | S. Sykora. “Approximations of Ellipse Perimeters and of the Complete Elliptic Integral E(x).” (Aug 8, 2007) www.ebyte.it/library/docs/math05a/EllipsePerimeterApprox05.html. |
| [2] | G. P. Michon. “Final Answers: Perimeter of an Ellipse.” (Nov 16, 2007) www.numericana.com/answer/ellipse.htm. |
| [3] | R. R. Simha, “Perimeter of Ellipse and Beyond” (lecture, Indian Institute of Technology, Bombay, February 2, 2000). www.math.iitb.ac.in/news/simha.html. |
| [4] | G. Almkvist and B. Berndt, “Gauss, Landen, Ramanujan, the Arithmetic-Geometric Mean, Ellipses, |
| [5] | R. W. Barnard, K. Pearce, and L. Schovanec, “Inequalities for the Perimeter of an Ellipse.” www.math.ttu.edu/~pearce/papers/schov.pdf. |
| [6] | M. Abramowitz and I. A. Stegun, eds., Handbook of Mathematical Functions with Formulas, Graphs, and Mathematical Tables (AMS55), 10th ed., Washington, D.C.: United States Department of Commerce, National Bureau of Standards, 1972. www.convertit.com/Go/ConvertIt/Reference/AMS55.ASP. |
| [7] | P. Kahlig, “A New Elliptic Mean,” Sitzungsber. Abt. II, 211, 2002 pp. 137-142. hw.oeaw.ac.at/?arp=x-coll7178b/2003-7.pdf. |
| [8] | E. W. Weisstein, “Arithmetic-Geometric Mean” from Wolfram MathWorld—A Wolfram Web Resource. mathworld.wolfram.com/Arithmetic-GeometricMean.html. |
| [9] | M. Trott, The Wolfram Functions Site—A Wolfram Web Resource. functions.wolfram.com. |
| P. Abbot, “On the Perimeter of an Ellipse,” The Mathematica Journal, 2011. dx.doi.org/doi:10.3888/tmj.11.2-4. | |
About the Author
Paul Abbott
School of Physics, M013
The University of Western Australia
35 Stirling Highway
Crawley WA 6009, Australia
tmj@physics.uwa.edu.au
physics.uwa.edu.au/~paul
