Imagine a floor marked with many equally spaced parallel lines and a thin stick whose length exactly equals the distance
between the lines. If we throw the stick on the floor, the stick may or may not cross one of the lines. The probability for a hit involves
. This is surprising since there are no circles involved; on the contrary, there are only straight lines. If we repeat the experiment many times and keep track of the hits, we can get an estimate of the irrational number
. (We also consider sticks of length
.)
The problem can easily be done as an exercise in a first calculus course, where the students are challenged to consider concepts such as probability, definite integration, symmetry, and inverse trigonometric functions. The solution to this problem therefore gives many applications in a variety of fields in calculus.
We continue by throwing regular polygons of different sizes, increasing the number of edges, and at last reach the ultimate goal of throwing circular objects. This article illustrates the process of throwing sticks, polygons, and circles analytically and graphically, and how to carry out calculations for different
-gons. The result always involves the number
, except when the circle is introduced! We also show the circle result as a limiting value as
increases to infinity.
Introduction
The problem of throwing sticks on a set of parallel equidistant lines was first raised by the French naturalist and mathematician Georges Louis Leclerc Comte de Buffon in 1733 and later solved in 1777 by Buffon himself. Despite the apparent linearity of the situation, the result gives us a method for computing the irrational number
. For more than 250 years, scientists have been intrigued by this puzzle, as can be seen by a quick search on the internet. Many authors have extended the exercise to throwing regular polygons. This article considers regular polygons with either even or odd
. When the number of vertices is even, opposite vertices are situated on the diameter of the circumscribed circle. There are no diametrically opposed vertices in odd regular polygons; therefore, these
-gons are more challenging for students to handle. The length
of the stick is replaced by the diameter
of the circumscribed circle when regular polygons are considered.
This article illustrates the process of throwing sticks, polygons, and circles analytically and graphically, and how to carry out calculations for different
-gons. The mathematics necessary are elementary and suitable for students in a first calculus course. The students will solve the necessary integrals and calculate the probabilities by hand before invoking Mathematica.
The introductory part of the lab considers sticks of length
—the same unit length as the distance between lines. The idea is described in [1, 2], including relevant Mathematica code for illustrations. Each throw can be fully described by two parameters: the distance
from the center of the stick to the nearest line, and the acute angle
that the stick makes with any parallel line (Figure 1).
Figure 1. The stick hits the line if
.
In the parameter space
, the graph of the function
is the border line between the areas representing hits and misses. Due to symmetry, we need only consider
,
(Figure 2).
Figure 2. The misses are drawn in gray and the hits in black.
Relating to the main topic in this article, we regard the stick as a degenerate polygon with two vertices and reformulate our function expression accordingly.
The probability of hitting a line is the ratio of the area under the graph to the area of the parameter space.

![]()
This result is interesting because it suggests a way to estimate the number
. Let a group of students draw parallel, equidistant lines on a large piece of paper and throw a substantial number of sticks on it, keeping a record of the hits. If
needles hit a line out of
tries, then the students get an approximation
.
Long Sticks
Let us look at sticks with arbitrary length
. When
, the probability of hits is directly proportional to
. When
, large values of
always give hits. Here is the situation for
.


For
, the stick of length 2 always crosses a line because it is inclined so much. On the other hand, arbitrarily long sticks can avoid hitting a line if the inclination is small enough. The probability for a stick of length
is given by the function probSticks.
![]()
The expression is interesting for several reasons. First, we have a “real” situation in which an inverse trigonometric function arises naturally. Second, the definite integral that makes up the last term is noteworthy in that finding an antiderivative is easy, while evaluating it at the integral’s endpoints requires a little more work. The students are encouraged to simplify
and verify the following simpler expression.
![]()
The probabilities always involve the factor
. For
, the graph is linear.
![]()
![]()
![]()
![]()
The results can be summarized for sticks of any length by plotting the probability of hitting a line as a function of
.
![]()

Tossing Squares
We start our investigation of regular polygons by tossing squares on the ruled floor. Let
be the acute angle between the vertical and a line through the square’s center and the midpoint of an edge (Figure 3). Other choices for the angle are also possible.
Figure 3. Here are some configurations where the square just touches the line.
The graph in the parameter space dividing hits and misses is given by
, where
is the length of the square’s diagonal. This is the same as the diameter of the circumscribed circle. Due to symmetry, it is enough to consider
.
For
, we always have
. What about squares whose diameter is greater than 1? Since the
parameter is restricted to
, we must consider the limit
. If
increases beyond that value, there are always hits with at least one side of the square. Then the curve dividing hits and misses is greater than
for all values of
, and the plot in parameter space is empty. When
, the polygon hits a line if
and
. This means that
.


The area in parameter space corresponding to hits is
![]()
for
, and
![]()
for
. This gives us the probability function

![]()
![]()
![]()
![]()
Hexagons
Throwing hexagons follows the same outline as squares. Opposite vertices lie on the diameter of the circumscribed circle, and so we have symmetry about
.
Figure 4. Here are some hexagon configurations.
For
, the hexagon hits a line when
. For
, at least one line is always hit (Figure 4).

![]()
![]()
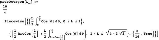
Octagons
We continue with octagons (Figure 5).
Figure 5. Here are some octogon configurations.
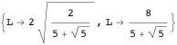
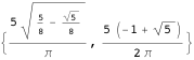
For
, the octagon hits a line when
. For
, at least one line is always hit.
![]()

![]()
![]()
![]()
![]()
![]()
![]()
Dodecagons
Before treating the general
-gon, here is the case of the dodecagon (Figure 6).
Figure 6. Here are some dodecagon configurations.

![]()
![]()
![]()
![]()
-gons
For higher-order
-gons where
is even, we encounter the same sort of symmetry about
and always get a hit when
.

![]()
![]()
Tossing Triangles
Next we look at equilateral triangles. In a regular odd polygon, the adjacent vertices do not lie on the diameter of the circumscribed circle. This means that we must take the full distance between lines into consideration.
Figure 7. Here are some triangle configurations.
Let
be the vertical distance from the top line to the center of the triangle. This is where the medians cross; the medians are also the altitudes since the triangle is regular. From Figure 7, we see that the border line between the hit and miss areas is
, where
is the diameter of the circumscribed circle. This means that the altitudes (medians) have length
. For
, the triangle therefore has to cut one or more lines.
But there is another border line, as Figure 8 shows.
Figure 8. For
, the triangles cut the lower line.
Thus the hit area consists of two distinct parts in parameter space.


The total hit area in parameter space is therefore:
![]()
We can see that the two separate areas are equal, which simplifies the probability calculation.
![]()
![]()
![]()
![]()
![]()
![]()
![]()
When
, the triangle cuts the line when
, where
is the solution of the equation
, given
. For
, the triangle has to cross at least one line, since then
. Note that
.
![]()
![]()
![]()
Pentagons
The calculations for other odd-sided polygons follow the same outline as for triangles.
Figure 9. Here are some hexagon configurations.
![]()
![]()

If
, the pentagon has to cut one line. Again we see that this limit is the square of the lower limit, as was the case with
. For
, there are always hits if
, where
is the solution to the equation
, given
.



-gons
Define the function:
![]()
Here is the value of
, where all polygons in the most symmetric position hit a line.
![]()
![]()
Here is the value of
, where every polygon hits a line, independent of rotation.
![]()
![]()
For higher-order
-gons where
is odd, we always hit a line when
. For
, the probability is proportional to
, and for
, there is always a hit if
, where
is a solution of the equation
, given
.
Tossing Coins
Suppose a penny with diameter
is thrown on a ruled surface. The position of the coin is independent of the angle
, and the circle hits the line whenever
(Figure 9).
Figure 10. The border line dividing hits from misses is the straight line
.
In this case the parameter space is one-dimensional, but we can define a random value
and create a rectangle
. The probability for hitting a line is therefore
that is directly proportional to
when
. The next plot illustrates the situation when
.


![]()
![]()
![]()
For the first time, when the circle actually appears on the scene, the result does not involve
!
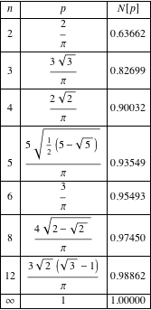
Summary for the Case 
In this article we extended the Buffon needle problem to include polygons thrown on a ruled floor and calculated the probabilities for hits for various values of the diameter
of the circumscribed circle. Each time the answer involved the irrational number
and therefore indicated a simulation to estimate the value of this famous number. Here is a summary of the results for
(the stick counts as a 2-gon).

For each value of
, we find
, and therefore
. Taking the limit as the number of vertices in the regular polygon tends to infinity, we therefore reach the result for tossing circles on the ruled floor.
For even
-gons we found the border line to be
for
. All
-gons would cut a line if
. As
,
, which is independent of
and always hits a line when
. This is in agreement with the circular case.
For odd
-gons, we found
,
. All
-gons would cut a line when
. As
, this again is in accordance with the circle case.
Thus the result of throwing pennies is fully compatible with the limiting results obtained by studying
-gons for large
.
In the Mathematica code, we had to take into consideration the parity of
when calculating the border line function, but the probability function for
could be simplified to one formula for all
.
![]()
![]()
![]()
References
| [1] | E. W. Packel and S. Wagon, Animating Calculus: Mathematica Notebooks for the Laboratory, 2nd ed., New York: TELOS/ Springer-Verlag, 1996. |
| [2] | E. W. Weisstein. “Buffon’s Needle Problem” from Wolfram MathWorld—A Wolfram Web Resource. mathworld.wolfram.com/BuffonsNeedleProblem.html. |
| I. G. Johannesen, “The Buffon Needle Problem Revisited in a Pedagogical Perspective,” The Mathematica Journal, 2011. dx.doi.org/doi:10.3888/tmj.11.2-9. | |
About the Author
Ivar G. Johannesen is an assistant professor at Oslo University College. Johannesen majored in nuclear physics at Oslo University in 1976 and is currently educational coordinator for courses im mathematics, physics, and statistics in the Faculty of Engineering. He uses Mathematica extensively in providing student projects related to their core curriculum in calculus, linear algebra, vector analysis, heat conduction, and hydrodynamics.
Ivar G. Johannesen
Faculty of Engineering
Oslo University College
Pb. 4 St.Olavs plass, N-0130 Oslo, Norway
ivar.johannesen@iu.hio.no









