Using closure over a complete set of rotational states for methane to evaluate the intensity for quasi-elastic electron scattering in the first Born approximation, a number of integrals were encountered that appear not to have been evaluated previously. Mathematica was employed to evaluate these and similar integrals, and it was discovered that in all the cases studied the results could be represented by simple formulas.
Details of the Integral Evaluations
The integrals discussed here are related to averages over the spherical matrix elements
[1, 2] defined by
| (1) |
which are symmetric-top eigenfunctions with eigenvalues
and a degeneracy
. The function
is defined [1, 2] as
| (2) |
where the sum is over all integer values of
from 0 to the first negative factorial that occurs in the denominator. In the impulse approximation for quasi-elastic electron scattering [3], averages over the rotational motion of a spherical top molecule such as methane are integrals of the following form:
| (3) |
where
| (4) |
is the Hamiltonian operator whose eigenfunctions are the Legendre polynomials
with eigenvalues
. Equation (4) is also a part of the Hamiltonian for which the
are solutions, but the
are not eigenfunctions of
(
). The occurrence of
arises in the treatment of the scattering problem in the impulse approximation [3]. By use of Mathematica it was possible to prove that
| (5) |
where the normalization factor
is given by
| (6) |
for all values of
and
. For integer
the results are
| (7) |
where
| (8) |
The use of the word “prove” is based on the results from a Mathematica program. All of these expressions occur as ratios of positive integers and were found to be in exact agreement with the results on the right-hand sides in equation (7) for values of
from 0 through 18.
Note that the same result can be obtained for the case where
is replaced by
if
is replaced by
| (9) |
Except for the factor of
for
and for
in the definitions of the
, the remaining parts are equivalent to the integrals
| (10) |
and
| (11) |
Further investigation using
found the same result with
| (12) |
where it is noted that
| (13) |
Define the double sum over the integral
| (14) |
and
| (15) |
These results suggest the conjecture that
, where
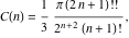
is a constant. For
and
, the constant factor
was found to be
for
, as shown in the next section.
Implementation
The function d is
.

The functions d1 and d2 are the first and second derivatives of
with respect to
.
![]()
The function h is the result of the Hamiltonian
operating on d.
![]()
Define the integral a.
![]()
The function int1 is the integral in equation (14).
![]()
The function int2 is the normalization integral of the square of
.
![]()
The function s
is the sum of the ratios of the integrals int1 and int2 over
and
.
![]()
For various choices of
,
, and
, the table compares the exact evaluation of
(equation (14)) with the proposed result
(equation (15)) and shows that the ratio of the two is a constant, which in this case is
. The evaluation of
takes some time.

![]()

References
| [1] | D. M. Brink and G. R. Satchler, Angular Momentum, Oxford: Clarendon Press, 1979 pp. 21-25. |
| [2] | R. A. Bonham, G. Cooper, and A. P. Hitchcock, “Electron Compton-like Quasielastic Scattering from dx.doi.org/10.1063/1.3108490. |
| [3] | G. I. Watson, “Neutron Compton Scattering,” Journal of Physics: Condensed Matter, 8(33) 5955, 1996. iopscience.iop.org/0953-8984/8/33/005. |
| R. A. Bonham, “Some Integrals Involving Symmetric-Top Eigenfunctions,” The Mathematica Journal, 2012. dx.doi.org/doi:10.3888/tmj.14-12. | |
About the Author
Russell A. Bonham received his Ph.D. in physical chemistry from Iowa State University in 1957. He is the author of more than 200 articles on all aspects of electron scattering from free atoms and molecules. He is currently a professor emeritus at Indiana University and an adjunct professor at the Illinois Institute of Technology.
R. A. Bonham
Department of Biological, Chemical, and Physical Sciences
Illinois Institute of Technology
3101 South Dearborn Street
Chicago, IL 60616
bonham@iit.edu