This article discusses the theoretical background for generating Ramanujan-type formulas for
and constructs series for
and
. We also study the elliptic alpha function, whose values are useful for such evaluations.
Introduction
The standard definitions of the complete elliptic integrals of the first and second kind (see [1], [2], [3], [4]) are respectively:
![]() |
(1) |
In Mathematica, these are
and
.
We also have
| (2) |
| (3) |
The elliptic singular moduli
is defined to be the solution of the equation
| (4) |
In Mathematica,
is computed using
.
The complementary modulus is given by
. (For evaluations of
see [7], [8], [9]).
We need the following relation satisfied by the elliptic alpha function (see [7]):
| (5) |
Our method requires finding derivatives of powers of the elliptic integrals
and
that can always be expressed in terms of
,
, and
. This article uses Mathematica to carry out these evaluations.
The function
is not widely known (see [7, 10]). Like the singular moduli, the elliptic alpha function can be evaluated from modular equations. The case
is given in [7] Chapter 5:
| (6) |
In view of [7], [11], and [5], the formula for
is
| (7) |
where
is a root of the polynomial equation
| (8) |
In the next section, we review and extend the method for constructing a series for
based on
. These Ramanujan-type formulas for
,
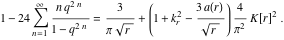
are presented here for the first time. The only formulas that were previously known are of orders 1, 2, and 3 ([12], [13]). There are few general formulas of order 2 and only one for order 3, due to B. Gourevitch (see references [14], [15], [5], [16], [17], [18]:
| (9) |
In the last section we prove a formula for the evaluation of
in terms of
.
The General Method and the Construction of Formulas for
and 
We have (see [16]):
![]() |
(10) |
This is the Mathematica definition.
![]()
Define
,
, such that
![]() |
(11) |
It turns out that
![]() |
(12) |
Here are the Mathematica definitions for
for
.
![]()
![]()
![]()
Consider the following equation for the function
:
![]() |
(13) |
Set
; then
and
, for suitable values of
, is a function of
and
, so
is an algebraic number when
. The
and
can be evaluated from (13). Higher values of
and
give more accurate and faster formulas for
and
.
Series for 
The general formula produced by our method for
is
| (14) |
This computes the polynomial in the variable
in the sum (13).
![]()
![]()
![]()
To find the
, the function Arules replaces
by
and
by
and sets all the Taylor expansion coefficients with respect to
to 0.
![]()

Choose M large enough to get a solution for all the
for
. (Here
and
.)
![]()

Now that we have the A[i], this computes the sum on the left-hand side of (13).
![]()
This computes the right-hand side of (13).
![]()
![]()
![]()
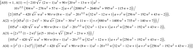
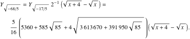
Example 1. From [19] and [7], for
and
, we have
and
. Hence we get the formula
![]() |
(15) |
We verify this numerically.
![]()
![]()
![]()
![]()
![]()
![]()
![]()
Example 2. Here is another example for
that we verify numerically.

![]()
![]()
![]()
![]()
![]()
![]()
Series for 
The coefficients of
and the parameters for the
formula are obtained using the same method as for
. (The same can be done as well for
, of course.) Higher values of
and
give more accurate and faster formulas for
and
.
For
we get
![]() |
(16) |
This calculates the
.
![]()
Example 3. For
,
![]() |
(17) |
Example 4. For
, we have
and
; then
![]() |
(18) |
We verify this numerically.
![]()
![]()
![]()
![]()
![]()

![]()
![]()
![]()
![]()
![]()
Example 5. For
, we have
and
; then
![]() |
(19) |
Evaluating the Elliptic Alpha Function 
It is clear from the results in the previous section that getting rapidly convergent series for
and its even powers requires values of the alpha function
for large
, say
(see [14], [20], [5]). In this section we address this problem.
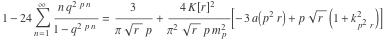
From (4), (7), and [2] pages 121-122, Chapter 21, if we set
,
,
,
, then
| (20) |
From the duplication formula
![]()
and
![]()
equation (20) becomes
| (21) |
Setting
| (22) |
gives the following proposition.
![]() |
(23) |
This connects Ramanujan’s results of Chapter 21 in [2] with the evaluation of the alpha function and the evaluations of
. Solving (23) with respect to
gives
![]()
Equations (21), (22), and (23) give another interesting formula,
![]()
where
| (24) |
Entry 4 of [2], p. 436 is
| (25) |
where
and
.
Set
| (26) |
where
is the Rogers-Ramanujan continued fraction (see [2], [21], [22]):
| (27) |
and
| (28) |
this gives
![]() |
(29) |
and hence the evaluation
![]() |
(30) |
But for the evaluation of the Rogers-Ramanujan continued fraction, from [22] we have
If
and
is a positive real, then
| (31) |
with
![]() |
(32) |
| (33) |
| (34) |
![]() |
(35) |
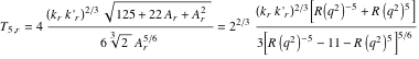
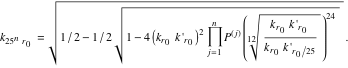
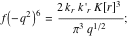
In some cases, the next formula from [9] is very useful:
![]() |
(36) |
Here the function
is
, where
,
, and
are as defined in [9] and
is the
iterate of
.
The coefficient
was defined in (24) and occurred in (32);
also satisfies the equation
![]()
If we know
and
, we can evaluate
from (31) and then we can evaluate
.
The following conjecture is most compactly expressed in terms of the quantity
| (37) |
The function
is the
-invariant (see [23], [8]). For more properties of
and
see [24].
Numerical results calculated with Mathematica indicate that whenever
, then
.
For a given
and
,
, or
, if the smallest nested root of
is
, then we can evaluate the Rogers-Ramanujan continued fraction with integer parameters.
1. When
,
| (38) |
with
, where
,
,
are positive integers.
2. When
,
a) If
, then
| (39) |
where
| (40) |
and where
is the positive integer solution of
. Hence
and
is a positive integer. The parameter
is a positive rational and can be found directly from the numerical value of
.
b) If
, then
| (41) |
where we set
. Then a starting point for the evaluation of the integers
,
is
| (42) |
the square of an integer.
3. When
, then we can evaluate
.
The degree of
is 8 and the minimal polynomial of
is of degree 4 or 8 and symmetric. Hence the minimal polynomial can be reduced to at most a fourth-degree polynomial and so it is solvable. With the help of step 2, we can evaluate
.
| (43) |
where
,
,
,
,
,
are integers, and
| (44) |
Here are some values of
that can found with the Mathematica built-in function Recognize or by solving Pell’s equation and applying the conjecture.
| (45) |
| (46) |
| (47) |
| (48) |
| (49) |
| (50) |
| (51) |
| (52) |
| (53) |
| (54) |
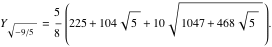
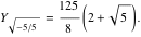
Example 6. If
, from (54) we have
, hence
| (55) |
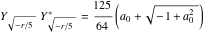
| (56) |
![]()
Hence
![]() |
(57) |
References
| [1] | M. Abramowitz and I. A. Stegun, Handbook of Mathematical Functions, New York: Dover, 1972. |
| [2] | B. C. Berndt, Ramanujan’s Notebooks, Part III, New York: Springer-Verlag, 1991. |
| [3] | J. V. Armitage and W. F. Eberlein, Elliptic Functions, New York: New York: Cambridge University Press, 2006. |
| [4] | E. T. Whittaker and G. N. Watson, A Course of Modern Analysis, 4th ed., Cambridge: Cambridge University Press, 1927. |
| [5] | N. D. Bagis and M. L. Glasser, “Conjectures on the Evaluation of Alternative Modular Bases and Formulas Approximating 1/ |
| [6] | N. D. Baruah and B. C. Berndt, “Eisenstein Series and Ramanujan-Type Series for link.springer.com/article/10.1007/s11139-008-9155-8. |
| [7] | J. M. Borwein and P. B. Borwein, Pi and the AGM, New York: Wiley, 1987. |
| [8] | D. Broadhurst, “Solutions by Radicals at Singular Values |
| [9] | N. Bagis, “Evaluation of Fifth Degree Elliptic Singular Moduli.” arxiv.org/abs/1202.6246v1. |
| [10] | E. W. Weisstein, “Elliptic Alpha Function” from Wolfram MathWorld—A Wolfram Web Resource. mathworld.wolfram.com/EllipticAlphaFunction.html. |
| [11] | J. M. Borwein and P. B. Borwein, “A Cubic Counterpart of Jacobi’s Identity and the AGM,” Transactions of the American Mathematical Society, 323(2), 1991 pp. 691-701. www.ams.org/journals/tran/1991-323-02/S0002-9947-1991-1010408-0/S0002-9947-1991-1010408-0.pdf. |
| [12] | N. D. Baruah and B. C. Berndt, “Ramanujan’s Series for |
| [13] | N. D. Baruah, B. C. Berndt, and H. H. Chan, “Ramanujan’s Series for |
| [14] | N. Bagis, “Ramanujan-Type |
| [15] | S. Ramanujan, “Modular Equations and Approximations to |
| [16] | W. Zudilin, “Ramanujan-Type Formulae for |
| [17] | E. W. Weisstein, “Pi Formulas,” from Wolfram MathWorld—A Wolfram Web Resource. mathworld.wolfram.com/PiFormulas.html. |
| [18] | The Mathematics Genealogy Project. “Jesús Guillera.” (Jul 17, 2013) genealogy.math.ndsu.nodak.edu/id.php?id=124102. |
| [19] | E. W. Weisstein, “Elliptic Lambda Function” from Wolfram MathWorld—A Wolfram Web Resource. mathworld.wolfram.com/EllipticLambdaFunction.html. |
| [20] | B. C. Berndt and H. H. Chan, “Eisenstein Series and Approximations to |
| [21] | B. C. Berndt, Ramanujan’s Notebooks, Part V, New York: Springer-Verlag, 1998. |
| [22] | N. D. Bagis, “Parametric Evaluations of the Rogers-Ramanujan Continued Fraction,” International Journal of Mathematics and Mathematical Sciences, #940839, 2011. doi:10.1155/2011/940839. |
| [23] | B. C. Berndt and H. H. Chan, “Ramanujan and the Modular |
| [24] | N. Bagis, “On a General Polynomial Equation Solved by Elliptic Functions.” arxiv.org/abs/1111.6023v1. |
| N. D. Bagis, “A General Method for Constructing Ramanujan-Type Formulas for Powers of |
|
About the Author
Nikos D. Bagis is a mathematician with a PhD in Mathematical Informatics from Aristotle University of Thessaloniki.
N. D. Bagis
Stenimahou 5 Edessa Pellas
58200 Greece
nikosbagis@hotmail.gr
















