This article systematically verifies a series of properties of an ancient figure called the arbelos. It includes some new discoveries and extensions contributed by the author.
Introduction
Motivated by the computational advantages offered by Mathematica, I decided some time ago to embark on collecting and implementing properties of the fascinating geometric figure called the arbelos. I have since been impressed by the large number of surprising discoveries and computational challenges that have sprung out of the growing literature concerning this remarkable object. I recall its resemblance to the lower part of the iconic canopied penny-farthing bicycle of the 1960s TV series The Prisoner, Punch’s jester cap (of Punch and Judy fame), and a yin-yang symbol with one arc inverted; see Figure 1. There is now an online specialized catalog of Archimedean circles (circles contained in the arbelos) [1] and important applications outside the realm of mathematics and computer science [2] of arbelos-related properties.
Many famous names are involved in this fascinating theme, among them Archimedes (killed by a Roman soldier in 212 BC), Pappus (320 AD), Christian O. Mohr (1835-1918), Victor Thébault (1882-1960), Leon Bankoff (1908-1997), and Martin Gardner (1914-2010). Recently, they have been succeeded by Clayton Dodge, Peter Y. Woo, Thomas Schoch, Hiroshi Okumura, and Masayuki Watanabe, among others.
Leon Bankoff was the person who stimulated the extraordinary attention on the arbelos over the last 30 years. Schoch drew Bankoff’s attention to the arbelos in 1979 by discovering several new Archimedean circles. He sent a 20-page handwritten note to Martin Gardner, who forwarded it to Bankoff, who then gave a 10-chapter manuscript copy to Dodge in 1996. Due to Bankoff’s death, a planned joint work was interrupted until Dodge reported some discoveries [3]. In 1999 Dodge said that it would take him five to ten years to sort all the material in his possession, then filling three suitcases. Currently this work is still forthcoming. Not surprisingly, like Volume 4 of The Art of Computer Programming, it appears that important work needs a substantial time to be developed.

Figure 1. The Prisoner’s penny-farthing bicycle, Punch and Judy, a physical arbelos.
The arbelos (“shoemaker’s knife” in Greek) is named for its resemblance to the blade of a knife used by cobblers (Figure 1). The arbelos is a plane region bounded by three semicircles sharing a common baseline (Figure 2). Archimedes appears to have been the first to study its mathematical properties, which he included in propositions 4 through 8 of his Liber assumptorum (or Book of Lemmas). This work might not be entirely by Archimedes, as was recently revealed through an Arabic translation of the Book of Lemmas that mentions Archimedes repeatedly without fully recognizing his authorship (some even believe this work to be spurious [4]). The Book of Lemmas also contained Archimedes’s famous Problema Bovinum [5].
This article aims at systematically enumerating selected properties of the arbelos, without attempting to be exhaustive. Our purpose is to develop a uniform computational methodology in order to tackle those properties in a pedagogical setting. A sequence of properties is arranged and subsequently verified by testing the computationally equivalent predicates. This work includes some discoveries and extensions contributed by the author.
We refer to the largest semicircle as the top arc and the two small ones as the left and right side arcs, or just the side arcs when there is no need to distinguish them. We use
and
to denote their respective radii (the top arc thus has radius
). A segment between two points is an undirected line segment going from one point to the other, while a line through two points is the infinite straight line through the two points. A traditional abuse of notation uses
for both the line segment joining the points
and
and the length of the segment, depending on the context; modern usage is to write
for the length of the segment.
This function displays the arbelos.

This draws the basic arbelos.


Figure 2. The arbelos.
Property 1
In other words, the total length of the side arcs equals the length of the top arc. This property is related to an intriguing paradox [6].
Property 2
This was lemma 4 of the Book of Lemmas (see Figure 3) [7, 8].
These two properties are easily verified by simultaneously testing two equalities.

![]()
The function drawpoints is used to display specific points as red disks.
![]()


Figure 3. The area of the circle of diameter
(the radical circle) is equal to the area of the arbelos.
The Radical Circle
The circle in Figure 3 is called the radical circle of the arbelos and the line
is its radical axis (this terminology will be clarified in Generalizations). To illustrate properties 3-11 and 25, 26, we draw and label points and show some coordinates, lines, and circles in Figure 4.


Figure 4. Labels, coordinates, lines, and circles referred to in properties 3 through 11 and 25, 26.
Property 3
To verify the orthogonality of the lines
and
, we take the inner product of the vectors
and
.

![]()
We employ the following result to obtain the slopes at the points
and
.
Theorem 1
![]()
![]()
The function PQ finds the coordinates of the tangent points
and
by solving a system of four equations, which places them on the arcs and sets their tangent slopes according to theorem 1.
Besides PQ, other definitions in this article for points and quantities are: VWS, HK, U
, EF, IJr, and LM.
The function dSq computes the square of the distance between two given points.
![]()

![]()
![]()
Property 4
As
is a diameter of the radical circle, we only need to verify the equality of the distances of
and
to the center of the radical circle, namely the point
.

![]()
Property 5
We get the coordinates of the points
and
by solving a system of equations that places them on the top arc and on the line
.

![]()

This verifies property 5 by checking that the distances of
and
to
are the same as the distance from
to
.

![]()
Property 6
This is equivalent to the fact that the determinant (cross product) of the vectors
and
is zero.

![]()
Property 7
This is equivalent to the fact that the inner product of the vectors
and
is zero.

![]()
Let us use the notation
for a circle with center
and radius
.
Property 8
The inversion of a point
in the circle
,
is defined to be the unique point
such that
[9]. The function inversion implements this idea.
![]()
This verifies property 8, recalling the coordinates of
are
.

![]()
Property 9
Property 10
This is the same as claiming that the corresponding arcs are orthogonal to the radical circle. By property 8, the arcs are orthogonal to the circle with diameter
as they pass through inverse pairs [10, 11].
Property 11
This is one of Bankoff’s surprises [12, 13, 14]. As all four points are on the radical circle, we need to verify only that
bisects
.

![]()
The following Manipulate illustrates properties 3-11. The easiest way to define the points P, Q, H, K is to copy and paste the formulas for them.


The Incircle
Now consider the circle tangent to the side arcs and the top arc, the incircle
with tangent points
,
, and
as shown in Figure 5 [15, 16]. We also consider points
and
at the tops of the side arcs.


Figure 5. The incircle
and coordinates, lines, and points referred to in properties 12 through 15.
Proposition 6 of the Book of Lemmas included the value of
, the radius of the incircle. The function U
calculates the coordinates of the center
and the radius
.

![]()
![]()
The coordinates of the tangent points
,
, and
are obtained as the intersections of the lines joining the centers of the three arcs of the arbelos and the incircle.

![]()
![]()
Property 12
Using the criterion of the determinant to check for collinearity, we verify the first two claims.

![]()
Let
be the point of intersection of the lines
and
. Confirming that its distance to
is equal to
verifies the third claim.

![]()
Property 13

![]()

![]()
The following Manipulate illustrates property 13 [17]. The option for showing the Bankoff circle as the incircle of the triangle joining the center of the arcs and the incircle corresponds to property 23.


Property 14
This property is illustrated in the next Manipulate and is readily verified here.

![]()
Property 15
First we obtain points
and
as the intersections of their respective lines and their respective arcs, and keep the result in the variable replaceEF.

![]()
![]()
We verify property 15 by setting
to be equal to the vector obtained by rotating
around
by 90° and setting
to be equal to the vector obtained by translating
by
.

![]()
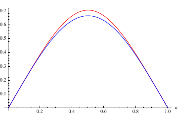
Assuming
and
, the following plot compares the sizes of the two squares.


This Manipulate illustrates properties 14 and 15.


The Twins
Consider the two gray circles tangent to the radical axis, a side arc, and the top arc in Figure 6. They are called the twins, or the Archimedean circles. Due to the following remarkable property, they have been extensively studied. We collect many of their extraordinary occurrences in our list of properties [3, 18, 19].


Figure 6. The twins.
Property 16
This property appeared as proposition 5 in the Book of Lemmas. Solving the following system of six equations finds the values of the radii, verifies they are equal, and computes the centers
,
.


These four solutions give the centers in pairs:
,
,
,
, where
and
are the reflections of
and
in the diameter of the arbelos; only the last expression is valid. The result also shows that the twins are indeed of the same radius
. Any circle with radius equal to the twins’ radius is called Archimedean. A nice interpretation of
arises when considering
and
as resistances: then
is the resistance resulting from connecting
and
in parallel; that is,
. The function IJr computes the value of the centers and the common value of the radius of the twins.
![]()
Property 17
Consider a circle tangent to both twins, with center at point
and radius
. Then there are two possible values of
.

![]()

To find the extrema of
, we set the derivative of each of the above expressions to zero and solve for
.
![]()
![]()
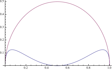
So the centers of the smallest and largest circles tangent to the twins lie on the radical axis. Moreover, they are concentric, as this result confirms.

![]()
Thus, by using property 2, we confirm that the largest tangent circle, which is the smallest enclosing the twins, satisfies property 17. The following Manipulate shows the circles tangent to the twins as you vary the radius
of the left side arc.


The following plot compares the radii of the two circles tangent to the twins with centers on the radical axis.




Figure 7. Labels and lines referred to in properties 18 through 24.
Property 18
This computes the tangent points
and
.
![]()
![]()
![]()
By using theorem 1, we verify both claims.

![]()
Property 19
We verify both claims simultaneously.

![]()
However, the points
,
, and
are not on a circle centered at
, nor are the points
,
, and
on a circle centered at
; otherwise, the following expression would be zero.
![]()
![]()
Property 20
As the length of the segment
is the ordinate of
and the length of the segment
is the ordinate of
, we only need to verify that the midpoints of those segments lie on the mentioned lines by checking slopes.

![]()
Property 21
Those circles are the fourth and fifth Archimedean circles discovered by Bankoff [20]. In order to verify this property, we use the following result [21]:
Theorem 2

This directed distance is positive if the triangle
is traversed counterclockwise and negative otherwise. The function dAB implements this.
![]()
Let
and
be the center and radius of the blue circle on the left side of point
in Figure 7. Solving the following system finds the value of
.
![]()
![]()
Similarly, this calculates the radius of the blue circle to the right of
, which equals
.

![]()
Thus, both circles are Archimedean as claimed. The following Manipulate shows the twins and these two other circles.


Property 22
Archimedes discovered the original twins; Bankoff improved on this by discovering this third circle in 1950 [22]. The coordinates of the center
of the Bankoff circle are obtained by equating the distances of
to the points
,
, and
.

![]()
Property 23
Using theorem 2 to compute the distance of
to the sides of the triangle, we verify this property (as dAB computes a directed distance, the order of the arguments describing the line is important).

![]()
Property 24
This computes the values of
and
.


The circle
is the one where the ordinate of
is positive. Note that
is not on the radical axis.


Property 25
![]()
![]()
Property 26
A circle with center
and radius
tangent to the line
is such that the distance from
to
is
, so this equation holds:
![]()
Because the circle passes through
,
![]()
Because the circle
is tangent to the top arc,
![]()
This input uses explicit expressions for
,
, and
that satisfy these three equations.

![]()
Property 27
This property was discovered in the summer of 1998 [23].


Figure 8. The two pairs of Archimedean circles from property 27.
Slanted Twins
We have seen that there are some Archimedean circles other than the twins, namely the Bankoff circle and those mentioned in properties 21 through 27. There are also non-Archimedean twins, that is, pairs of circles of the same radius, different than that of the twins, appearing at significant places within the arbelos.
The discovery of the slanted twins arose from the initial assumption that, besides being tangent to either side arc and the top arc, the two circles-to-be-twins could be tangent to themselves and not necessarily to the radical axis. Clearly there are an infinite number of solutions if we do not require these circles to be of equal radius. The idea was that if we started by assuming they are of equal radius, we might end up discovering they are tangent to the radical axis. This turned out not to be the case. Let us consider circles with centers at the points
and
with common radius
. The value of
can be obtained by solving a system of five equations.


These expressions involve square roots differing in sign. The ones using the plus sign diverge at
and are rejected.

![]()
The other one converges.

![]()
We conclude that the slanted twins are indeed congruent and that their common radius
is

The following comparison between the radii of the twins and the slanted twins shows that their difference turns out to be very small.


This gives the coordinates of the centers of the slanted twins.

![]()

The following Manipulate shows the slanted twins and, optionally, the twins, as you vary
.


Generalizations
In this section we generalize the shape of an arbelos by allowing the arcs to cross and by considering a 3D version. To set the context of the first of those generalizations, we need the concept of the radical axis of two circles.
Radical Axis
Let
be a point and
be the circle
. The power of
with respect to
is defined to be the real number
. The power of
is positive, zero, or negative depending on whether
lies outside, on, or inside
[12]. Let
; if the points of
satisfy the equation
, then an alternative way to define the power of
is to evaluate
. (A similar result applies if
, when the circle degenerates to a line, in which case the sign of
indicates whether
is above, on, or below the line.)
Here is a very interesting property of the power of a point. Given a circle and a point
, choose an arbitrary line through
meeting the circle at points
and
. Then the product ![]()
depends only on
—it is independent of the choice of line through
. This product is equal to the power of
.
In the following Manipulate, drag the four locators to vary the size of the circle, the position of
, and the slope of the line through
.


Given two circles with different centers, their radical axis is defined to be the line consisting of all points that have equal powers with respect to each of the two circles. Proofs of the following can be found in [10].
Theorem 3
Corollary 1
Theorem 4
The following Manipulate shows two circles; one is fixed, and you can vary the center and size of the other one by dragging the locator or changing its radius with the slider. You can use the other slider to move the red point on the radical axis to illustrate theorem 4.


Crossing Arbelos and 3D Arbelos
The following Manipulate illustrates two generalizations.


Property 28
Let
be the length of the gap between the bases (so that the diameter of the top arc is
) and let
be the abscissa of the intersection of the radical axis with the
axis, assuming the origin is at the leftmost point of the arbelos [10].
Theorem 5
With the help of this theorem, we compute the value of
.
![]()
![]()
We can assume without loss of generality that
,
, and
(
can be negative). Let the inscribed circles be
and
. The values of these parameters are obtained as follows.


Then, although some centers can be disregarded, the radius is the same in all cases.
Proof without Words
Finally, here are three more properties of the arbelos. See if you can guess what property is involved by experimenting with the controls [24, 25].
This first Manipulate lets you move the side arcs in a systematic way.


This second Manipulate lets you rotate a line around the point of tangency of the side arcs.


Finally, the third Manipulate shows an infinite family of twins.


References
| [1] | F. van Lamoen. “Online Catalogue of Archimedean Circles.” (Jan 22, 2014) home.planet.nl/~lamoen/wiskunde/arbelos/Catalogue.htm. |
| [2] | S. Garcia Diethelm. “Planar Stress Rotation” from the Wolfram Demonstrations Project—A Wolfram Web Resource. demonstrations.wolfram.com/PlanarStressRotation. |
| [3] | C. W. Dodge, T. Schoch, P. Y. Woo, and P. Yiu, “Those Ubiquitous Archimedean Circles,” Mathematical Magazine, 72(3), 1999 pp. 202-213. www.jstor.org/stable/2690883. |
| [4] | H. P. Boas, “Reflection on the Arbelos,” American Mathematical Monthly, 113(3), 2006 pp. 236-249. |
| [5] | H. D. Dörrie, 100 Great Problems of Elementary Mathematics: Their History and Solution (D. Antin, trans.), New York: Dover Publications, 1965. |
| [6] | J. Rangel-Mondragón. “Recursive Exercises II: A Paradox” from the Wolfram Demonstrations Project—A Wolfram Web Resource. demonstrations.wolfram.com/RecursiveExercisesIIAParadox. |
| [7] | R. B. Nelsen, “Proof without Words: The Area of an Arbelos,” Mathematics Magazine, 75(2), 2002 p. 144. |
| [8] | A. Gadalla. “Area of the Arbelos” from the Wolfram Demonstrations Project—A Wolfram Web Resource. demonstrations.wolfram.com/AreaOfTheArbelos. |
| [9] | J. Rangel-Mondragón, “Selected Themes in Computational Non-Euclidean Geometry. Part 1. Basic Properties of Inversive Geometry,” The Mathematica Journal, 2013. www.mathematica-journal.com/2013/07/selected-themes-in-computational-non-euclidean-geometry-part-1. |
| [10] | D. Pedoe, Geometry: A Comprehensive Course, New York: Dover, 1970. |
| [11] | M. Schreiber. “Orthogonal Circle Inversion” from the Wolfram Demonstrations Project—A Wolfram Web Resource. demonstrations.wolfram.com/OrthogonalCircleInversion. |
| [12] | M. G. Welch, “The Arbelos,” Master’s thesis, Department of Mathematics, University of Kansas, 1949. |
| [13] | L. Bankoff, “The Marvelous Arbelos,” The Lighter Side of Mathematics (R. K. Guy and R. E. Woodrow, eds.), Washington, DC: Mathematical Association of America, 1994. |
| [14] | G. L. Alexanderson, “A Conversation with Leon Bankoff,” The College Mathematics Journal, 23(2),1992 pp. 98-117. |
| [15] | S. Kabai. “Tangent Circle and Arbelos” from the Wolfram Demonstrations Project—A Wolfram Web Resource. demonstrations.wolfram.com/TangentCircleAndArbelos. |
| [16] | G. Markowsky and C. Wolfram. “Theorem of the Owl’s Eyes” from the Wolfram Demonstrations Project—A Wolfram Web Resource. demonstrations.wolfram.com/TheoremOfTheOwlsEyes. |
| [17] | P. Y. Woo, “Simple Constructions of the Incircle of an Arbelos,” Forum Geometricorum, 1, 2001 pp. 133-136. forumgeom.fau.edu/FG2001volume1/FG200119.pdf. |
| [18] | B. Alpert. “Archimedes’ Twin Circles in an Arbelos” from the Wolfram Demonstrations Project—A Wolfram Web Resource. demonstrations.wolfram.com/ArchimedesTwinCirclesInAnArbelos. |
| [19] | J. Rangel-Mondragón. “Twins of Arbelos and Circles of a Triangle” from the Wolfram Demonstrations Project—A Wolfram Web Resource. demonstrations.wolfram.com/TwinsOfArbelosAndCirclesOfATriangle. |
| [20] | H. Okumura, “More on Twin Circles of the Skewed Arbelos,” Forum Geometricorum, 11, 2011 pp. 139-144. forumgeom.fau.edu/FG2011volume11/FG201114.pdf. |
| [21] | E. W. Weisstein. “Point-Line Distance—2-Dimensional” from Wolfram MathWorld—A Wolfram Web Resource. mathworld.wolfram.com/Point-LineDistance2-Dimensional.html. |
| [22] | L. Bankoff, “Are the Twin Circles of Archimedes Really Twins?,” Mathematics Magazine, 47(4), 1974 pp. 214-218. |
| [23] | F. Power, “Some More Archimedean Circles in the Arbelos,” Forum Geometricorum, 5, 2005 pp. 133-134. forumgeom.fau.edu/FG2005volume5/FG200517.pdf. |
| [24] | A. V. Akopyan, Geometry in Figures, CreateSpace Independent Publishing Platform, 2011. |
| [25] | H. Okumura and M. Watanabe, “Characterizations of an Infinite Set of Archimedean Circles,” Forum Geometricorum, 7, 2007 pp. 121-123. forumgeom.fau.edu/FG2007volume7/FG200716.pdf. |
| J. Rangel-Mondragón, “The Arbelos,” The Mathematica Journal, 2014. dx.doi.org/doi:10.3888/tmj.16-5. | |
About the Author
Jaime Rangel-Mondragón received M.Sc. and Ph.D. degrees in applied mathematics and computation from the University College of North Wales in Bangor, UK. He has been a visiting scholar at Wolfram Research, Inc. and has held positions in the Faculty of Informatics at UCNW, the College of Mexico, the Center for Research and Advanced Studies, the Monterrey Institute of Technology, the Queretaro Institute of Technology, and the University of Queretaro in Mexico, where he is presently a member of the Faculty of Informatics. His current research includes combinatorics, the theory of computing, computational geometry, urban traffic, and recreational mathematics.
Jaime Rangel-Mondragón
UAQ, Facultad de Informatica
Queretaro, Qro. Mexico
jrangelmondragon@gmail.com