This article presents new symbolic solutions for the problem of pore elasticity and pore pressure. These techniques are based on the classic theoretical approach proposed by M. A. Biot [1]. The new symbolic solutions differ from the well-known approximations of the functions proposed for the 2D pore elasticity problem. Both new symbolic and numerical solutions are then applied to solve problems arising in offshore design technology, specifically dealing with the penetration of a gravity-based rig installed in the Arctic region of the North Sea of Russia. All symbolic approaches are based on solutions of the linear problem of the pore elasticity for homogeneous soil. The new symbolic solutions are compared with Biot’s solutions.
Introduction
The main purpose of this article is to derive new symbolic solutions for the classic problem of pore elasticity set up in [1]. Approximate solutions proposed by Biot have been widely used to solve various linear initial-boundary problems involving pore elasticity. But more accurate solutions of the problem are still of interest.
In offshore technology, a practical example deals with the penetration of huge oil rigs into the soil of the sea bed. Such cases are usually based on solutions given by the linear theory of pore elasticity.
1. Setting Up the Problem
First, consider Biot’s problem for a rectangular load on homogeneous soil [1].
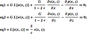
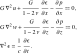
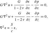
In the three-dimensional case, the depth of penetration of a rigid body into soil may be found by solving the equations
![]() |
(1) |
where
,
,
are the components of the displacements of the saturated soil in the
,
,
directions and
| (2) |
is the divergence of the displacements of the soil. The initial and boundary conditions will be given later.
The other variables are:
, the pore pressure
, the shear modulus of the rigid skeleton of the saturated soil
, the Poisson coefficient of the rigid skeleton of the soil
, the coefficient of consolidation
, the coefficient of permeability
, the final compressibility
As usual, define the Laplace operator:
| (3) |
Consider an infinite half-space (e.g. clay) bounded by the horizontal
–
plane, and let the
axis be directed vertically downward.
The vertical deflection of the horizontal plane is to be found when a vertical load acts on the rectangular plane at time
; the rectangular load is distributed in the strip
on the surface.
Assume that water saturates the clay and may be freely filtered by the neighboring half-area, and that the water pressure on the
–
surface equals atmospheric pressure.
Then the original problem becomes two dimensional, with
. The equations in (1) become
![]() |
(4) |
Taking the Laplace transform and noting that
changes the third equation, giving the system
![]() |
(5) |
where
is a Laplace-transformed parameter.
2. Boundary Conditions
The boundary conditions for the 2D case (reduced for the full symmetric geometry of the body) of the pore elasticity are:
1. The displacements and pore pressure are 0 as
:
| (6) |
2. The pore pressure at the surface is
| (7) |
3. The skeleton stress
at the surface is equal to the external load given by
| (8) |
4. The shear stress at the surface is 0:
| (9) |
3. Symbolic Solutions
3.1. Operators
First, clear any old values of
and
.
![]()
Define three operators and three equations.
![]()
![]()
![]()

3.2. General Solutions
Consider general solutions of the system of equations (5) in the form of functions with separated variables.
![]()
Then (5) is transformed into the following system of ODEs.
![]() |
(10) |
This determines the general solutions of (10).
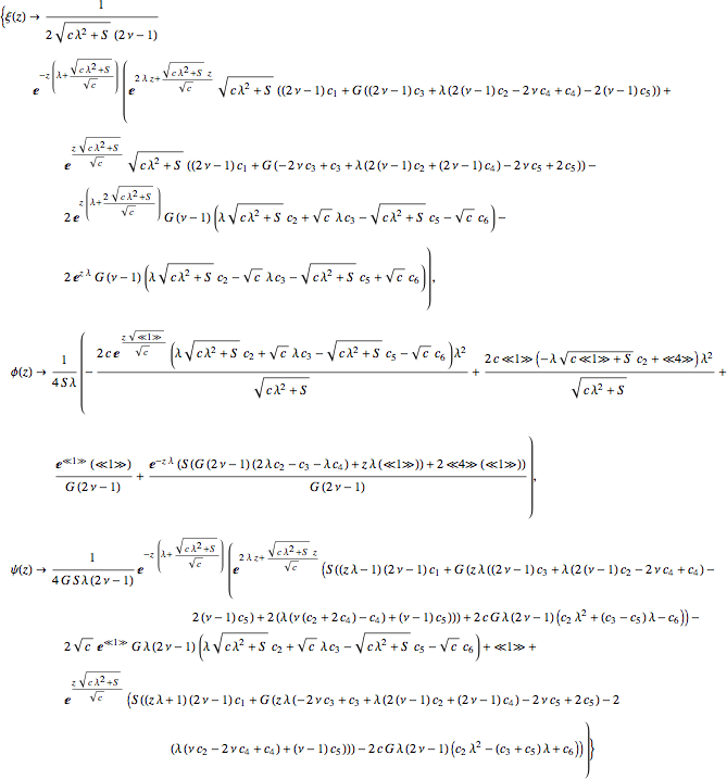
![]()
![]()

This allows us to define the three previously unknown functions.
![]()
New forms of the symbolic solutions are presented in section 3.3.
3.3. Partial Solutions for a Rectangular Load on the Plane
The symbolic solutions derived in section 3.2 may be combined in the function
.
![]() |
(11) |
To satisfy the boundary condition (6), the coefficients
and
in (11) must be zero.
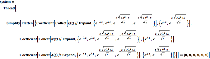
Here is a linear system for the unknown coefficients
in
.


This finds solutions for three of the coefficients.
![]()

We can express the functions in a different form using
.
![]()

![]()

![]()

The other three unknown constants
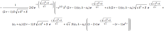
are found from the boundary conditions (7), (8), and (9). These conditions lead to three linear equations.
![]()

![]()

![]()
![]()
Finally, here is the system of linear equations.
![]()
It leads to the general solutions for all the coefficients of the problem of pore elasticity.
![]()
4. New Symbolic Solution for Pore Elasticity Problem
Following [1], we introduce a transformed solution for the vertical deflection of the plane.
![]()

This gives the time dependence of the vertical displacement of the saturated soil.
![]()

This is the formula for the initial distribution at the surface.
![]()
![]()
Based on [1], here is the general vertical deflection for the horizontal level of the soil.
![]()

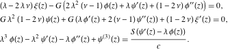
Finally, a new symbolic solution for a rectangular load acting on the plane (with zero Poisson coefficient) is derived by integrating.
![]()

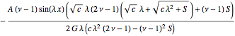
The result is a new symbolic form for problem [1].
![]() |
(12) |
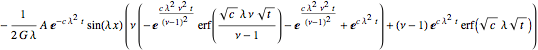
Originally in [1] the approximate symbolic solution was given by:
![]() |
(13) |
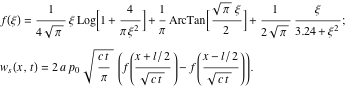
This is the new function for practical solutions based on the exact solution derived above.
![]()

Here is the displacement of the horizontal level of the porous space under a rectangular load.
![]()

5. Penetration of the Gravity Rig
Let us consider an application of the new symbolic solution of the pore elasticity problem obtained above to the study of the penetration of the gravity rig into the sea bed. The platform Prirazlomnaya has a mass of 250,000 tons and its bottom measures
(see [2]). We also define the parameters of the clay soil and sediment.

![]()
This is the average pressure of the rig on the surface of the sediment.
| (14) |
Here is a plot of the rectangular load.
![]()

This plots the family of vertical displacements of the rig penetrated into clay and sediment.


6. Complex Loads Acting on the Gravity Rig
For a complex load acting on the rig, the general penetration is the sum of each of the component penetrations.
![]() |
(15) |
where
and
are the sizes of the mechanical components and living quarters of the platform.
Here is a plot of the loads on the platform from the housing and mechanical blocks.
![]()

Let the production unit have length 30 meters and suppose the distributed load is
.
![]()
This shows the penetration of the platform on the sediment due to the production unit over a two-week period.


This shows the penetration of the platform, taking into account the nonuniform load distribution on the sediment, where
is the side length of the square of the bottom of the rig in (15).



Figure 1. Here is a photo of the rig Prirazlomnaya.
7. Symbolic Solution for Porous Pressure
Since [1] does not take account of porous pressure, here is a new symbolic solution for this case, substituting 0 for
.
![]()

7.1. Approximate Solution for Pressure
Following [1], here is an approximate symbolic solution for the pressure.
![]()

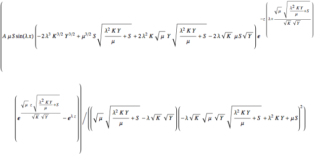
The explicit form of the pore pressure function is computed by taking the inverse Laplace transform.
![]()

So this is a new symbolic solution for the porous pressure for a rectangular load at the surface.
![]()

7.2. Porous Pressure in the Soil
This section shows how the pore pressure changes with time and depth of the soil layer near the horizon.
![]()
This determines the distribution function of pore pressure 1.5 meters below the bottom of the gravity platform.


This shows the family of porous pressure distributions at the bottom of the gravity platform.


Obviously, the pore pressure is the load-bearing frame factor, which restrains the platform to the surface of the ground.
Conclusion
In this article, new symbolic solutions for the penetration of a gravity platform into soil and a determination of the porous pressure in the saturated soil are found by computer algebra techniques. These solutions improve upon earlier solutions obtained by M. Biot and give us new possibilities to apply symbolic computer applications to diverse problems in pore elasticity theory.
Both symbolic solutions are applicable to the design of offshore gravity structures installed in shallow water.
References
| [1] | M. A. Biot, “General Theory of Three-Dimensional Consolidation,” Journal of Applied Physics, 12(2), 1941 pp. 155–164. doi:10.1063/1.1712886. |
| [2] | Wikipedia. “Prirazlomnoye Field.” (Jan 12, 2015) en.wikipedia.org/wiki/Prirazlomnoye_field. |
| A. N. Papusha and D. P. Gontarev, “New Symbolic Solutions of Biot’s 2D Pore Elasticity Problem,” The Mathematica Journal, 2015. dx.doi.org/doi:10.3888/tmj.17-5. | |
About the Authors
Professor Alexander N. Papusha is the head of the Continuum Mechanics and Offshore Exploration Department at Murmansk State Technical University (MSTU). He received an M.S. in mechanics from Kiev State University in 1972 and a Ph.D. in theoretical mechanics in 1979 from the Institute of Mechanics, Ukrainian Academy of Sciences, as well as a Doctor of Sciences from the Institute of Machinery (St. Petersburg), Russian Academy of Sciences in 1999. Since 1983, he has been a full professor at MSTU.
Denis P. Gontarev is a postgraduate student in the Continuum Mechanics and Offshore Exploration Department at MSTU.
Alexander N. Papusha
Continuum Mechanics and Offshore Exploration Department
Murmansk State Technical University
13, Sportyvnay
183010 Murmansk, Russia
www.mstu.edu.ru/structure/faculties/etf/kaf_mss
papushaan@mstu.edu.ru
Denis P. Gontarev
Continuum Mechanics and Offshore Exploration Department
Murmansk State Technical University
13, Sportyvnay
183010 Murmansk, Russia
denisgontarev@gmail.com







