We describe efficient algorithms for working with subgroups of
. Operations discussed include join and meet, congruence testing, congruence closure, subgroup testing, cusp enumeration, supergroup lattice, generators and coset enumeration, and constructing a group from a list of generators.
Introduction
The set of linear fractional transformations of the form
| (1) |
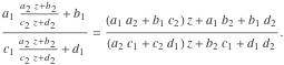
known as Möbius transformations, has several interesting properties. First, the composition of functions of this form is still of the same form, as

Since the coefficients appearing in the composition are exactly those of the product of the two matrices
and
, it is most convenient to represent transformations of the form (1) by the matrix
. A matrix and any nonzero scalar multiple of itself represent the same Möbius transformation, so we can consider only matrices with determinant 1 without loss of generality. Since the product of two matrices with determinant 1 also has determinant 1, such a set of matrices (or Möbius transformations) forms a group, where the group operation is matrix multiplication (or composition). If we further restrict the coefficients
,
,
, and
in (1) to be integers, the resulting group is known as
. Now, if the matrix
is in
, then
is also in
and represents the same Möbius transformation. For this reason, we consider
, known as the modular group, which is
with each matrix identified with its negative. That is,
![]()
It is possible to show that every transformation in the modular group can be obtained as a combination of the two fundamental transformations
![]()
with corresponding matrices
and
. Another way of stating this fact is that
is generated by
and
.
For example, the matrix
may be obtained as the product
.
![]()
![]()
The modular group is important because of the existence of modular functions, which are functions that have simple transformation laws under the action of the modular group. A prototypical modular function is the modular discriminant function, which may be defined for
by
![]()
Since this product has zeros at every rational number, the real axis becomes a natural boundary of the domain
of
. Using the methods of analysis, it is possible to show that
| (2) |
for every matrix
in the modular group. Two observations are in order concerning the transformation formula (2). First, as
![]()
we see that the transformed value of
still has a positive imaginary part, so it still lies in the domain of
. Second, the values of
where
ranges over the whole upper half-plane
are related to the values of
where
is restricted to the region shaded blue here.

This region is known as the fundamental domain for
. This is because the transformations
and
can be used to bring any point in
into this region, and no two points inside it differ by a Möbius transformation in
. The transformation
pairs the left edge with the right edge, while the transformation
pairs the arc from
to
with the arc from
to
.
Subgroups of the Modular Group
In the theory of modular functions one often wants to know what transformations leave a given function unchanged. For example,
![]()
will not be unchanged by all the transformations in
, since the numerator
does not have a transformation formula under all elements of
. However, if
is in
and
is divisible by 5, then

Thus, we are naturally led to the subgroup of
given by
![]()
The package ModularSubgroups.m addresses the computational problem of working with such subgroups of the modular group. However, only certain subgroups of
can be identified by congruence conditions on their entries, as is the case with
. Such subgroups are called congruence subgroups and are discussed more later. For this reason, we need a better way to represent subgroups. The key to this lies in the matrices
and
. Since
and
generate
,
and
are also generators. However, it can be shown that
is the free product of
and
; that is, every matrix in
can be written uniquely as a word in
and
as long as no two consecutive
’s appear and no three consecutive
’s appear in the word. This last condition is necessary because of the relations
, where
(the identity matrix) should be thought of as the empty word.
A subgroup
of the modular group
is said to have finite index (in
) if
can be written as a disjoint union
![]()
of left cosets
, where the left coset
is defined as
. In this way, the group
is partitioned into several “copies” of
, and the number of copies of
that fit inside
is called the index
. If
is a finite index subgroup of
with index
and left cosets
(with a distinguished coset
), the matrices
and
permute the left cosets when acting by multiplication on the left; that is, we have equations
![]()
where
and
should be viewed as some permutations of the set
, that is, elements of the symmetric group
.
This identification of the matrices
and
as permutations gives rise to the permutation representation of
, which we use to represent any subgroup of
with finite index. Specifically, a subgroup
is identified by: (1) its index
; (2) the permutation
; and (3) the permutation
. The permutations
and
are not arbitrary. The following two conditions are necessary and sufficient for a given
to appear as the representation of some group
.
(1)
in
, where
is the identity in
. This condition arises from the fact that as matrices, we have
.
(2)
and
generate a transitive subgroup of
, or equivalently, the Schreier cosets graph discussed later is connected. This condition arises because the matrix
sends the coset
to the coset
, hence the action of
on the left cosets “connects” all of the cosets together.
If these two conditions are satisfied, the group
may be identified as
, where the condition
needs to be evaluated after thinking of
as a permutation by converting
and
into their corresponding permutations.
Since our representation of
by two permutations
and
involves an arbitrary ordering of the nontrivial cosets
, two different representations
and
represent the same group precisely when there is a relabeling of the indices
in the permutations of
that simultaneously converts
into
and
into
. For, example the two representations
![]()
represent the same group, as the relabeling
converts
to
.
Another important combinatorial object attached to a subgroup
of finite index is the Farey symbol for
, as described in [1]. This symbol directly encodes a fundamental domain for
as well as the edge-pairing matrices for this fundamental domain. Equivalently, it encodes independent generators for
. However, since the equivalence of two representations of
by two different Farey symbols is not as straightforward to detect, the permutation representation as described was chosen for the underlying representation for
.
Congruence Subgroups
A subgroup
of
is called a congruence subgroup if it contains the principal congruence subgroup of level
,
![]()
for some natural number
. If this is the case, we can describe
as those matrices whose entries satisfy certain congruences modulo
. For example, two families of congruence subgroups are
and
, which are defined as

Recently in [2], Hsu gave a simple test for determining if a given subgroup of
is a congruence subgroup, based on a presentation for
. This algorithm is implemented here and generalized to compute the congruence closure of a subgroup
, which is the smallest congruence subgroup that contains
.
Schreier Cosets Graphs
The Schreier cosets graph of
is of fundamental importance to several of the algorithms in the package. Given a subgroup
with index
and permutations
and
, the Schreier coset graph is the connected graph with
vertices
and
labeled edges
![]()
Such a graph has the property of being folded. A graph is said to be folded if every vertex has at most one edge of a given orientation and label incident with it. If there is a vertex with two or more edges of the same label and orientation, then the graph is said to be unfolded. One property of the Schreier cosets graph is that the subgroup
of the modular group consists of all words
in
and
such that, when starting at vertex 1, the path that follows word
must terminate at vertex 1. For example, take the subgroup
with the following Schreier cosets graph.
![]()

The word
, which corresponds to the matrix
![]()
is in
as the path traced out by
is given by
(
must be read right to left since we are dealing with left cosets). Since the graph is folded, the process of tracing a path given by a word in
and
is deterministic. The group
corresponding to this Schreier cosets graph turns out to be a congruence subgroup, and its defining congruences are given in Example 1.
Examples
All of these examples were tested in Mathematica 10.
Set the directory to be able to load the package and then evaluate the Needs.
![]()
Subgroups of the modular group are maintained in the container
, and the names of the functions that operate on these groups start with a lower case “m” in order to avoid possible conflicts with built-in symbols. The matrices mS, mO, mT, mR of the package are set as follows.
![]()
![]()
Example 1: Describing Congruence Subgroups
Here is the group
from the section on Schreier cosets graphs. The permutations are listed so that
and
, where
and
are the last two arguments of the mGroup container.
![]()
This group turns out to be a congruence subgroup of level 3, and it consists of those matrices that are congruent modulo 3 to one of the following matrices.
![]()
![]()
So, for example, the group
has the description
![]()
Example 2: Congruence Subgroups from Generating Sets
The group generated by
and
is of finite index only for
. Similarly, the group generated by
and
is of finite index only for
.


Example 3: Subgroups of Index 7
There are two conjugacy classes of congruence subgroups of index 7, which we define here by
their generators.
In the printed form of the group
:
is the index of
in
.
is the genus of the compact surface
.
is the number of cusps of
, namely, the size of
.
is the number of fixed points of order 2 of
in
.
is the number of fixed points of order 3 of
in
.
These numbers are related by
.


They are indeed not conjugate.
![]()
![]()
The intersection of these two groups turns out to have index 28, while the group generated by these two groups turns out to be the full modular group.
![]()
![]()
![]()
![]()
A fundamental domain may be obtained with mDomain.
![]()

The edge pairings for this fundamental domain are given in the Farey symbol. Edges
between two rational numbers with the same integer label
are paired together, while edges with the label ● or ○ are paired with themselves.
![]()
![]()
The matrices returned by mGenerators are the matrices responsible for pairing the edges in this way.
![]()
![]()
Example 4: Congruence Subgroups
The congruence closure of a subgroup
is the smallest congruence subgroup that contains
. We first start with the congruence subgroup of index 7 from the previous example and a non-congruence subgroup of index 9.

![]()
![]()
![]()
![]()
![]()
Its congruence closure is the theta subgroup.
![]()
![]()
One can also compute the congruence closure of a group by joining it with the principal congruence subgroup of the same level, but the package uses a much more efficient method. Membership in the groups
,
, and
can be tested with
,
, and
, respectively. The function mFromMember constructs the internal representation of the group given the group’s membership function.
![]()
![]()
We also have the following property, since g itself is congruence.
![]()
![]()
Next, we compute the congruence closure for the group given in Example 1.1 of [2]. It turns out to be the full modular group.
![]()
![]()
Example 5: Generators for 
First get the principal congruence subgroup of level 5, which has index 60.
![]()

Generators may be computed quickly from this permutation representation, and we can also efficiently reconstruct the group from a list of generators.
![]()

![]()
![]()
Example 6: Supergroup Lattice
We will graph the supergroup lattice for the principal congruence subgroup of level 4. The mSupergroups function is used to make the supergroup lattice. The index of each group (in
)
is displayed in the lattice, and the actual group is displayed as a tooltip. Every subgroup of
whose matrices can be described by congruence conditions modulo 4 appears somewhere on this lattice.


Example 7: Cusps for a Subgroup
If
is a subgroup of the modular group, then every matrix in
acts on
(the set of rational numbers with
included) and partitions
into equivalence classes. We say that two rational numbers
and
are equivalent under
if there is an element of
that sends
to
. The set of equivalence classes of
under the action of
is known as the cusps for
, and there are finitely many cusps if
has finite index in the modular group. The width of a cusp
with respect to
is defined to be the index of the
stabilizer of
inside the
stabilizer of
.
Let g and h be the subgroups


Here is a list of inequivalent cusps of h and their widths.
![]()
![]()
Here we reduce a list of random cusps to one of these four. The frequency of each cusp in the list should be proportional to its width.
![]()
![]()
The intersection of g and h may be computed.
![]()

Of course, the implementation in the package is more efficient.
![]()
![]()
Example 8: Non-congruence Subgroups from Caranica
If
denotes the total number of subgroups of the modular group of index
, then with
so that
it is possible to show that
![]()
and that
![]()
Since the radius of convergence of the power series
is zero, this differential equation must be treated formally as a recurrence relation for the coefficients of
. See Section 1 of [3] for details.
Caranica [4, Table 3.1] has computed the conjugacy classes of non-congruence subgroups of index 9. However, this table incorrectly claims that there are 11 conjugacy classes. In fact, there are 108 non-congruence subgroups of index 9 and 12 conjugacy classes. Vidal [5] has given a formula for the generating function of the total number of conjugacy classes of subgroups (congruence or not) of a given index.
![]()
![]()
Fortunately, the Farey symbols for the claimed groups are provided by Caranica, so we can recover the source of the error. First we verify that there are indeed 11 conjugacy classes of non-congruence subgroups in the table.

![]()
This is the group that is missing from the table.
![]()
![]()
Example 9: Fundamental Domains and Univalent Functions
The Mathematica built-in function KleinInvariantJ is invariant under
and takes each complex value exactly once inside a fundamental domain for
. A plot of this function and an outline of its fundamental domain are shown.
The upper half-plane, which is parameterized by
, has been mapped into the unit disk, which is parameterized by
, by the relation
.
The hue of the color plotted at a point in the
disk is the argument of the complex number
, where
is the point in the upper half-plane corresponding to
.


Similarly, the built-in function DedekindEta can be used to construct such a function
for
, which is a congruence subgroup of
of index 3. A plot of this function and a fundamental domain for
are shown next.


Here is a similar construction for
. This plots the fundamental domain for
in the
half-plane.
![]()

In the
disk, such a region becomes a diamond shape. A univalent function on
must be invariant under the generators of
; that is,
, and such a function is provided by the built-in function ModularLambda.


In this case, the zero of
occurs on this diamond where the colors coalesce. In the previous example, the zeros of
are not visible in this way because they occur on the boundary of the
disk.
A Description of the Algorithms
Many operations on subgroups of the modular group depend on operations on graphs. Several of the algorithms used here encounter unfolded graphs, and we use the efficient folding algorithm described in [6] to implement Stallings’s folding process, which converts any graph to a folded graph.
As described in the introduction, it is straightforward to convert a group
described by the permutations
and
to the Schreier cosets graph. In order to reverse this procedure, it is necessary that each edge labeled
either have the same initial and terminal vertex or be part of a three-cycle. Similarly, each edge labeled
needs to occur in either a loop or a two-cycle. All of the graphs used here have this property. However, when building a group from a list of a generators, we may encounter a folded graph in which some vertex does not have valence four. Such graphs do not correspond to subgroups of
of finite index. Let us illustrate the folding procedure on the following graph.

Such a graph represents the subgroup
that is generated by the two words
and
, since, except for the trivial cycles induced by the relations
, these are the only cycles in the graph. Whenever there are two edges
and
incident at the same vertex with the same orientation and label, causing the graph to be unfolded, the edge
may be deleted and the vertex
may be merged with
without changing the subgroup represented by the graph. The progression of the graph folding procedure shown is left to right, top to bottom, with the edges to be deleted shown between graphs.

The subgroup of
represented by the final folded graph has index three and is determined by the permutations
and
. This is also known as the theta subgroup. The reader is urged to work through the folding process for the group generated by
and
to see that it does not have finite index in
. The starting graph is shown here.

It is useful to have a notion of a standard representation (in terms of the permutations
and
) of a group
whereby two groups are the same if and only if their permutations
and
are identical. This can be accomplished by visiting the coset
first (denoted by the index 1 in the permutations). Once we have visited a coset
, we then recursively visit the coset
(assuming this has not been visited yet), and once this trip has returned to the coset
, we visit the coset
(also assuming this coset has not been visited yet). The standard labels for the indices
for the nontrivial cosets may then be determined by the order in which that coset was visited.
In the case of testing a matrix
for membership in a group
, write
as a word in
and
, then set
and check if
. Specifically, for a given matrix
whose entries in the left column are non-negative, multiply
on the left by the matrices
![]()
until the left column contains a zero. The variable
holds the current coset, so every time
is multiplied by
, for example,
needs to be updated to
.
Given the membership function on matrices for a group, we construct the group coset by coset. Assume that
has index at least three in
. If
, start with the four cosets
; otherwise, start with the three cosets
. Proceed by adding either one or three cosets to
at a time. If
is such that:
and
, then add the coset
to
.
and
, then add the cosets
,
,
to
.
Where there is no such coset
satisfying either of these conditions, we have found all of the cosets of
. A naive implementation of this procedure would have worst-case running time
, where
is the index of the resulting group. The worst-case running time may be reduced to
by keeping track of which cosets actually need to be checked.
We may compute coset representatives, generators, and a Farey symbol in
operations for a subgroup
of index
. This works as follows. Let
be the graph corresponding to a subgroup of index
. First, the graph is cut into a tree so that the coset labeled
is given by the resulting unique path from the vertex 1 to the vertex
. Any time a cut is made or a fixed point is encountered, the corresponding matrix is added to the list of generators. Finally, after the cosets and generators are computed and the cuts have been recorded, the Farey symbol is computed by a clockwise traversal of the tree.
The cusps of a given subgroup
are also important. The action of
on the upper half-plane is given by
![]()
and this action extends to
. The equivalence classes of
under the action of
, namely
, are finite, and we may choose a representative for each one as follows. The stabilizer of
in
is generated by
(or
). Therefore, any two cusps (say
and
for
) are equivalent under
whenever there is an integer
such that
; that is,
and
belong to the same cycle of the permutation
. The width of a cusp
can then be defined as the length of the cycle (of
) that contains the coset
.
Joining and intersecting two groups is surprisingly simple. To compute the group that is generated by
and
, we can form the graph
for
. Then, for each generator
of
, merge the vertices in
corresponding to the cosets
and
. This will in general result in a unfolded graph, which we can then fold and convert back to a permutation representation. In order to compute the permutation representations for the intersection of
and
, first find the orbit of
under the action of
and
in terms of cosets of the form
. A permutation representation of
may then be obtained by the action of
and
on the cosets in this orbit of
.
It is also straightforward to check if two groups are the same or conjugate, or if one group is contained in another. To test if two groups
and
are the same, we employ a strategy similar to the process for standardizing the representation. The cosets of
and
are visited simultaneously, starting with the pair
. If we are currently visiting the pair
, then we visit the pairs
and
as described in the standardization process. If the two paths ever become out of sync, that is, if cosets are visited in a different order, then we know the groups are not the same; otherwise the two paths will return back to
and we know that
and
are the same. Checking if
and
are conjugate can be accomplished by the same procedure. We need to check if the path stays in sync when starting at some pair
for
.
The congruence functions use the list of relations of Hsu [2]. Recall that the congruence closure
of a group
is the smallest congruence subgroup that contains
. We compute the congruence closure of
as follows. Hsu gives a list of relations
that are satisfied if and only if
is a congruence subgroup. Let
be the list of the permutations
where
is a relation in Hsu’s list. If
contains a non-identity permutation
, this represents an obstacle to
being a congruence subgroup. Let
denote the level of
, which is defined as the order of the permutation
. As it is known that
contains
, the set of relations for
is also satisfied by
. Let
be any permutation in
and
an index of any coset in
. Since
must act trivially on the cosets of
and
is a subgroup of
, the group obtained from
by merging cosets
and
must also be contained in
. Therefore, merging the cosets
and
of
for all
and
must give
.
Conclusion
We have described an efficient package for manipulating and constructing subgroups of the modular group. It is hoped that this will further interest in these groups and facilitate research dealing with these subgroups.
Acknowledgments
The author would like to thank Junxian Li of the University of Illinois at Urbana-Champaign for many helpful discussions on improvements and corrections to initial implementations of the algorithms.
References
| [1] | C. A. Kurth and L. Long, “Computations with Finite Index Subgroups of |
| [2] | T. Hsu, “Identifying Congruence Subgroups of the Modular Group,” Proceedings of the American Mathematical Society, 124(5), 1996 pp. 1351–1359. www.ams.org/journals/ proc/1996-124-05/S0002-9939-96-03496-X/S0002-9939-96-03496-X.pdf. |
| [3] | A. Lubotzky, “Counting Finite Index Subgroups,” London Mathematical Society Lecture Note Series 212: Groups ’93 Galway/St Andrews, Vol. 2 (C. M. Campbell, E. F. Robertson, T. C. Hurley, S. J. Tobin, and J. J. Ward, eds.), Cambridge: Cambridge University Press, 1995 pp. 368–404. |
| [4] | C. C. Caranica, “Algorithms Related to Subgroups of the Modular Group,” Ph.D. thesis, Louisiana State University, 2009. etd.lsu.edu/docs/available/etd-07092009-200839/unrestricted/Caranica_diss.pdf. |
| [5] | S. A. Vidal, “Sur la classification et le dénombrement des sous-groupes du groupe modulaire et de leurs classes de conjugaison,” Publications IRMA, 66(II), 2006 pp. 1–35. Preprint: arxiv.org/abs/math.CO/0702223. |
| [6] | N. W. M. Touikant, “A Fast Algorithm for Stallings’ Folding Process,” International Journal of Algebra and Computation, 16(6), 2006 pp. 1031–1045. doi:10.1142/S0218196706003396. |
| D. Schultz, “Manipulating Subgroups of the Modular Group,” The Mathematica Journal, 2016. dx.doi.org/doi:10.3888/tmj.18-4. | |
About the Author
Daniel Schultz is a postdoctoral researcher at Pennsylvania State University who is interested in modular functions and automorphic forms in general.
Daniel Schultz
Pennsylvania State University Department of Mathematics
University Park
State College, PA 16802
dps23@psu.edu