This didactic synthesis compares three solution methods for polynomial
approximation and systematically presents their common characteristics and their close interrelations:
1. Classical Gram–Schmidt orthonormalization and Fourier approximation in ![]()
2. Linear least-squares solution via QR factorization on an equally spaced grid in ![]()
3. Linear least-squares solution via the normal equations method in
and on an equally
spaced grid in ![]()
The first two methods are linear least-squares systems with Vandermonde matrices
; the normal equations contain matrices of Hilbert type
. The solutions on equally spaced grids in
converge to the solutions in
All solution characteristics and their relations are illustrated by symbolic or numeric examples and graphs.
Definitions and Notation
Let
. Consider the Hilbert space of real-valued square integrable functions
(or
, for short), equipped with Lebesgue measure and scalar product
| (1) |
and the corresponding
-norm
![]()
scalar products can be approximated by scalar products on discrete grids in
based on Riemann sums and similarly for norms.
Partition the finite interval
into
subintervals by the points
![]()
and set
![]()
Suppose that
is a bounded function on
. Let
be any point in the subinterval
and define the grid
![]()
The Riemann sums on the partition
and grid
are defined by
| (2) |
| (3) |
| (4) |
| (5) |
Equation (3) is called the left-hand Riemann sum, (4) the right-hand Riemann sum and (5) the (composite) midpoint rule.
For an equally spaced partition, the step size is
![]()
The
equally spaced partition points are
![]()
and the equally spaced grid of length
(excluding the endpoint
) is
![]()
It is also possible to use the grid points or grid shifted by an amount
, where
so that
, as
![]()
Let
| (6) |
For equally spaced grids, the Riemann sums simplify to
| (7) |
Setting
,
and
gives the left-hand Riemann sum, the composite midpoint rule and the right-hand Riemann sum, respectively. The error of the Riemann sums is defined as
![]()
The set of continuous real-valued functions
forms a dense subspace of
, [1], Theorem (13.21). For
, the restrictions
and
to this grid are well-defined. Define the
-dimensional scalar product on this grid:
| (8) |
The
-dimensional 2-norm is
![]()
The factor
ensures that the norms of constant functions agree:
![]()
Denote the linear space of polynomials with real coefficients of degree at most
by
and define the polynomial
by
![]()
The polynomial can be written as a scalar product (or dot product) of two
-tuples, the monomials up to degree
and the
coefficients:
![]()
Introducing the
Vandermonde matrix
| (9) |
every polynomial of degree
can be written as the product of a matrix and a vector as

The product of a
matrix and an
-vector is regarded as a 1-vector, not a scalar, as in Mathematica.
Restricting the Vandermonde matrix to the interval
gives an operator mapping into
:
| (10) |
Whereas
is an unbounded operator,
is a bounded operator with respect to the
2-norms on
and
.
The polynomial
approximates
in the
-norm, as measured by
| (11) |
In matrix-vector notation, this constitutes a linear least-squares problem for the coefficients
:
| (12) |
where

Now take a discrete grid
![]()
and sample
on this discrete grid:
![]()
The polynomial
of degree
approximates
in the 2-norm on this grid as measured by
| (13) |
In matrix-vector notation, this constitutes a linear least-squares problem for the coefficients
:
| (14) |
where
![]() |
(15) |
A rectangular or square matrix of this form is called a Vandermonde matrix.
Let
,
be Hilbert spaces with scalar products
,
and let
be a bounded linear operator defined everywhere on
. Then the adjoint operator
of
is defined by the identity ([2], p. 196, Definition 1)
| (16) |
For Hilbert spaces
,
over the reals, one writes
instead of
.
Theorems and Properties for Later Use
Simple Quadrature Formula
All Riemann sums integrate constant functions exactly on any grid, since
![]()
If
is bounded on
and continuous except for finitely many points, it has a Riemann integral. Consult [3], Chapter 2, for proofs and further references on quadrature formulas.
Theorem 1
| (17) |
A similar result holds for the left-hand Riemann sums (with
).
If
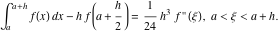
, the error term of the elementary midpoint formula is given in [3], (2.6.5):
| (18) |
Therefore the error of the composite midpoint formula can be bounded by
| (19) |
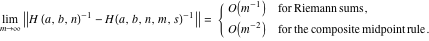
Convergence of Discrete to
Scalar Products
By Theorem 1, for functions
and
, the discrete scalar product
converges at least as fast as
to the
scalar product:
![]()
By equation (19), for functions
, the discrete scalar product
converges at least as fast as
to the
scalar product:
![]()
Singular Value Decomposition
See [4], sections 2.4 and 2.6.
Theorem 2
![]()
![]()
![]()
Matrix Properties from SVD
| (20) |
Define
to be the index of the last positive singular value
![]()
Then
| (21) |
The condition number of a rectangular matrix
with full column rank with respect to the 2-norm (in short, the 2-condition number) is defined as the quotient of its largest to its smallest singular value ([4], equation (2.6.5)):
| (22) |
By equation (20), the 2-condition number has the properties
| (23) |
| (24) |
If
is an invertible
matrix,
. The SVD of
is obtained from the SVD of
as
| (25) |
| (26) |
If
is a real
matrix with orthonormal columns
, it can be completed to an orthogonal matrix
. Therefore the SVD of
is
| (27) |
The 2-condition number of
is
| (28) |
Adjoint Linear Operators
See [2], sections VII.1 and VII.2.
Theorem 3
.
Finite-Dimensional Linear Operators
For
and a subset
, linear combinations from the subset define a finite-dimensional linear operator
| (29) |
Obviously,
and
if and only if
is linearly independent.
is bounded and has the matrix representation
![]()
Apply the definition of the adjoint operator
and notice that the first scalar product is that of
,
; then
![]()
Therefore the adjoint operator
is
![]() |
(30) |
![]()
Substituting
into the preceding equation gives the representation of
as an
matrix (note the scalar products are taken in
):
![]() |
(31) |
Here
is Hermitian positive semidefinite if
is over the complex numbers, and symmetric positive semidefinite if
is over the reals, and
![]()
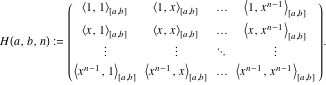
Properties of Vandermonde Matrices
A polynomial of degree
has at most
distinct zeros, therefore the set of monomials
is a linearly independent subset of
and
| (32) |
By [5], the determinant of the
Vandermonde matrix is the product

Therefore, the rectangular
Vandermonde matrix (15) has full rank
if and only if the points
are pairwise disjoint.
Mathematica Definitions for Polynomial
Approximation
Names are chosen according to previous notation and terminology.
This defines the 2-condition number.
![]()
This defines symbolic integration with time constrained to 10 seconds.
![]()
This defines numerical integration.

The function
(which is
) first attempts symbolic integration; if that is unsuccessful or takes too long, it performs numerical integration.
![]()
This defines the scalar product in
.
![]()
Since
is listable in
and
, it also implements the adjoint operator for a set of functions according to equation (32).
This defines the norm in
.
![]()
This defines functions for discrete grids.
![]()
![]()
![]()
![]()
![]()
If
,
or
is a machine number, the functions
,
,
and
return machine numbers.
This defines the functions
,
,
and
.
![]()
![]()
![]()
![]()
![]()
To avoid potential clashes with predefined values for the variables
,
and
, the script letters
,
and
are used for symbolic results.
These sample functions are used in the
commands.

Linear Least-Squares Solution via QR Factorization
Let
. Given a rectangular data matrix and an observation vector
,
| (33) |
the linear least-squares (LS) problem is to find:
| (34) |
A comprehensive description of the QR factorization of an
matrix via Householder, Givens, fast Givens, classical Gram–Schmidt and modified Gram–Schmidt methods is given in [4], section 5.2. Here only the essential steps are presented.
Principle of QR Factorization
Let
be an orthogonal matrix. Such a matrix preserves lengths of vectors:
![]()
Given the real
matrix
,
, the goal is to construct an orthogonal
matrix
such that
![]()
where
is an
upper-triangular matrix of the form
![]()
Obviously
![]()
Linear Least-Squares Solution by “Thin” QR Factorization
The Mathematica function QRDecomposition deviates from the full QR factorization as follows:
![]()
is output as an
matrix. The rows of
are orthonormal. Only the upper-triangular
![]()
submatrix
is output.
Then the unique solution of the
upper-triangular system is straightforward:
![]()
It gives the unique solution of the full-rank linear least-squares problem (34):
![]()
Since multiplication with an orthogonal matrix does not change the singular values, the condition numbers do not change either:
| (35) |
This holds in particular for the Vandermonde matrices, both in the discrete and continuous case.
Mathematica Definitions for QR Orthonormalization
This defines
and
.
![]()
![]()
Classical Gram–Schmidt Orthonormalization
Polynomial Approximation via Classical Gram–Schmidt Orthonormalization
Applying the classical Gram–Schmidt orthonormalization process in a pre-Hilbert space, described in [2], p. 88 ff., to the monomials
in
gives an orthonormal system of
polynomials
| (36) |
that satisfy
| (37) |
The Fourier coefficients of any function
with respect to this orthonormal system are defined according to [2], p. 86, equation (1) (the dot here denotes the placeholder for the integration argument in the scalar product):
![]()
The best
approximation to
is given as the Fourier sum of
terms:
![]()
Mathematica Definitions for Classical Gram–Schmidt Orthonormalization
The orthonormal system of polynomials
is given by the function
. The functions
and
are also defined.

![]()
![]()
Example Interval
: Fourier Approximation by Legendre Polynomials
This defines the polynomials
.
![]()

These polynomials differ from the classical Legendre polynomials LegendreP built into Mathematica only by normalization factors.
![]()
![]()
This shows the Fourier approximation of a sample set of functions.

The Classical Gram–Schmidt Orthonormalization Interpreted as QR Factorization
Proposition 1
![]() |
(38) |
| (39) |
Proof
Theorem 4
![]()
![]()
![]()
![]()
Proof
For this QR factorization, the inverse of the upper-triangular
matrix
is already calculated by the Gram–Schmidt process:
![]()
Equations (26), (28) and (35) give the relations on the 2-condition numbers of the operators or matrices:
Corollary 1
![]()
![]()
The numerical instability of the classical Gram–Schmidt process in machine arithmetic is discussed in [4], section 5.2.8. However, since the Gram–Schmidt orthonormalization of the monomials with respect to the scalar product
can be performed by symbolic calculations, numerical algorithm stability is not an issue here, contrary to the
-dimensional scalar product
.
Mathematica Definitions: Gram–Schmidt Orthonormalization as QR Factorization
This defines the Gram–Schmidt coefficient matrix
.
![]()
This defines the lower- and upper-triangular matrices of QR decomposition.
![]()
![]()
This defines the orthogonal matrix
.
![]()
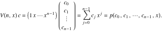
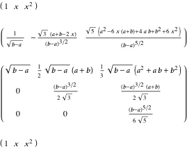
Illustrating Proposition 1 and Theorem 4 for an Arbitrary Interval
Here is a set of orthonormal polynomials (
,
).
![]()
![]()
This gives the Gram–Schmidt coefficient matrix
, with
.
![]()

Multiply the matrix of monomials from the right or left.
![]()
![]()
![]()
![]()
This reproduces orthogonal matrix
.
![]()
![]()
By construction, the polynomials contained in the matrix columns are orthonormal with respect to the scalar product in
.
![]()
![]()
This verifies the QR decomposition
, as in Theorem 4.


![]()
![]()
Correspondence between Gram–Schmidt Orthonormalization and QR Factorization Interpretation
Select one of the sample functions and compare the results from the Gram–Schmidt orthonormalization and QR factorization interpretation.

Examples: Condition Numbers of Vandermonde Matrices
For the continuous case, because
, the singular values of
equal the singular values of
.
![]()

![]()
![]()
Here is the case of a discrete grid.
![]()

![]()
![]()
Example Interval
: Relation to Hilbert Matrices
Obviously,
is the lower-triangular Cholesky factor of the
.

![]()

Consequently, the 2-condition number of the Vandermonde matrix of size
on
is the square root of the 2-condition number of
.
![]()
![]()
Summary of Results for Orthogonalization Methods
This gives summary results.

Characterizing Orthogonalization Solutions
- The system matrix
is a Vandermonde matrix of dimension
in the continuous setting and
in the discrete setting.
has full rank in the continuous and discrete settings.- The discrete case is solved by the QR factorization of
into an orthogonal matrix
and an upper-triangular matrix
. - In the continuous case, the Gram–Schmidt orthonormalization applied to the monomials in
reads in matrix vector notation as
. - This is reformulated as QR factorization of the
Vandermonde matrix:
. - Consequently, the 2-condition number of
equals the 2-condition number of the
upper-triangular matrix
:
orthogonal. Therefore the 2-condition number is much smaller than for
The Normal Equations Method for Finite Dimensions
The approach for deriving the normal equations for the
least-squares problem (34) is described in [4], section 5.3, for example. Define
![]()
![]()
A necessary condition for a minimum is
, or equivalently,
| (40) |
These are called the normal equations. The minimum is unique if the
Hessian matrix
has full rank
. Then there is a unique solution
of the linear least-squares problem (34) or (40):
| (41) |
For an equally spaced
, defined as in equation (5), the
Vandermonde matrix
has full rank, so the Hessian matrix for polynomial approximation has full rank as well.
If
is rank deficient (
), then there are an infinite number of solutions to the least-squares problem. There is still a unique solution with minimum 2-norm, which can be written with the pseudo-inverse matrix ([4], section 5.5):
![]()
For full rank,
.
The Normal Equations Algorithm for the
Case
Suppose
with
(see [4] section 5.3.1). Then this algorithm computes the unique solution
to the linear least-squares problem (34):
- Compute the lower-triangular portion of
. - Compute
. - Compute the Cholesky factorization
(or
via CholeskyDecomposition). - Solve the triangular systems
and
(or
and
).
The Normal Equations Method on 
The approach for deriving the normal equations for the
case applies with one modification to the continuous least-squares approximation equation (12) (see [6]):
![]()
The matrix transpose
has to be replaced by the adjoint operator
:
![]()
A necessary condition for a minimum is
, or equivalently,
| (42) |
These are called the normal equations.
| (43) |
is called the
Hessian matrix. The minimum is unique if
has full rank
. The elements can be calculated via equation (31):
![]()

Obviously, the Hessian matrix is symmetric and positive semidefinite. Since
has full rank for any nonzero interval
, then
has full rank
(as well by equation (32)) and is therefore positive definite. Then there exists a unique solution
of equations (42) and (12).
Finally, calculate the elements on the right-hand side of
via equation (30):
![]()
Convergence of Discrete Approximations to Continuous Approximations
This subsection investigates under which conditions and how fast the polynomial approximations on discrete grids converge to the continuous polynomial approximation in
.
For an equally spaced
, the normal equations, multiplied by the step size
, read
| (44) |
Define
| (45) |
then by equation (7), the matrix elements of
are just the Riemann sums for the matrix elements (integrals) of
. Therefore, the Hessian matrices on the discrete grid converge to the continuous Hessian matrix in any matrix norm according to:
![]()
Define
| (46) |
then by equation (7), the elements of
are just the Riemann sums for the elements of
, the moments of
. Therefore, the right-hand side of the normal equations on the discrete grid converge to the right-hand side of the continuous normal equations in any vector norm according to:
| (47) |
Proposition 2
Proof
From equation (42), the solution of the polynomial approximation in
is
![]()
From equation (44), the solution for the discrete grid is
| (48) |
For the matrix inverses
![]()
Expanding the difference of the solution coefficient vectors completes the proof:
![]()
The Relation of the Normal Equations Method to Gram–Schmidt Orthonormalization
on 
Theorem 5
![]()
Proof
From Theorem 4 and because
,
![]()
By [4], Theorem 4.2.7, the Cholesky decomposition of a symmetric positive-definite square matrix is unique.
Equations (24) and (26) give the relation for the 2-condition numbers of the matrices.
Corollary 2
![]()
Definitions to Solve Normal Equations
This defines the continuous and discrete Hessian matrices.
![]()
![]()
These are the right‐hand sides of the continuous and discrete normal equations.
![]()
![]()
This gives the solution of the normal equations system.

This gives the approximation polynomials for the continuous and discrete cases.
![]()
![]()
Illustrating Theorem 4 for the General Interval 
This gives the Gram–Schmidt coefficient matrix, its inverse and inverse transpose.


The matrix
times its transpose equals the Hessian matrix of the normal equations.


Equivalently,
is the lower-triangular and
is the upper-triangular Cholesky factor of the Hessian matrix
.
![]()

Special Case: The Interval
for Hilbert Matrices
For
, the Hessian matrix
is identical to the Hilbert matrix
of dimension
:

![]()

Hilbert matrices are ill-conditioned already for dimensions
(i.e. have condition numbers greater than about 10,000) and soon reach the limits of 64-bit IEEE arithmetic.
![]()

![]()
![]()
Summary of Results for the Normal Equations Method
Here are the summary results. It takes some time for
.

Characterization of the Normal Equations Solution
- Continuous case: The
Hessian matrix
originates from the full-rank Vandermonde matrix
of the orthogonalization solutions by taking
. - Discrete case: The
Hessian matrix
comes from the full-rank Vandermonde matrix
of the orthogonalization solutions by taking
. - Consequently,
gives the exact Hilbert matrix of dimension
.- For other intervals
, the Hessian matrix
is close to a Hilbert matrix (“Hilbert-type matrix”). - Hilbert matrices and Hilbert-type matrices are very ill-conditioned already for dimensions greater than four and return extremely inaccurate numerical solutions.
- For intervals symmetric around zero,
,
has a chessboard pattern of zeros, since the columns of
are alternating orthogonal. - The normal equations are solved by Cholesky decomposition in the continuous and discrete settings.
matrix
Comparison of Solution Methods
Gram–Schmidt Orthonormalization versus Normal Equations
This performs Gram–Schmidt orthonormalization for a special case. For other cases, change the 6 in
to an integer between 1 and 10.
![]()
![]()
![]()

Here are the results from the normal equations.
![]()

The two solutions agree both symbolically and in exact arithmetic.
![]()
![]()
But there are numeric differences in IEEE 758 machine arithmetic.
![]()
![]()
![]()
![]()
These differences come from the lower error amplification expressed in a lower 2-condition number,

![]()
The numerical solution via the Gram–Schmidt orthonormalization solution is usually more accurate than the normal equations solution.
QR Factorization versus Normal Equations on an Equally Spaced Grid
Here is the QR factorization. Again, for other cases, change the 3 in
to an integer between 1 and 10.
![]()
![]()
![]()
![]()
Normal equations.
![]()
![]()
The difference between the numerical solutions is due to the difference in how their rounding errors propagate.
![]()
![]()
Because of the lower error amplification expressed in a lower 2-condition number, the numerical solution via QR factorization is more accurate than the normal equations solution.

![]()
Convergence of the Right-Hand Sides of Normal Equations
This calculates the convergence order for grids of powers of 2.

Choose problem parameters. Yet again, for other cases, change the 7 in
to an integer between 1 and 10.
![]()
![]()
Here are the approximation errors for grids of powers of 2.
![]()
![]()
Here is the convergence order. To see the result for another function, select another sample function in
. Zero errors are suppressed.

For case 3, all but the first two elements of
are zero. For case 5, all but the first element of
are zero; therefore the logarithmic plots look incomplete.
Sample functions 3, 4, 5, 6 have discontinuities in the zeroth, first or second derivative; 7 and 8 have singularities in the first or second derivative. These sample functions and
do not satisfy all the assumptions of Theorem 1. Therefore the convergence order of the right-hand side can be lower than 1 (respectively 2) as predicted by equation (47). Sample functions 1, 2, 9, 10 are infinitely often continuously differentiable; therefore they have maximum convergence order 1 (respectively 2) according to equation (47).
Convergence of the Normal Equations Solution
These are the approximation errors for grids of powers of 2.
![]()
![]()
This takes a few minutes.

This plots the convergence order.

Relations between Solution Methods
Analyzing polynomial
approximation, this article has systematically worked out the close relations between the solutions obtained by:
- Gram–Schmidt orthonormalization and Fourier approximation
- QR factorization
- Normal equations
The interrelations are:
- The Gram–Schmidt orthonormalization applied to the monomials
on
is reformulated as QR factorization of the
Vandermonde matrix
with the following one-to-one correspondences. - For
, Gram–Schmidt orthonormalization returns scalar multiples of the classical Legendre polynomials. - The
Hessian matrix
in the normal equations originates from the full-rank Vandermonde matrix
of the orthogonalization solutions by taking
. - The 2-condition number of
is the square of the 2-condition number of the Vandermonde matrix
. - The upper Cholesky factor of
is identical to the upper-triangular
matrix
of the QR factorization of
in both the continuous and discrete cases.
is identical to
of the QR factorization in both the continuous and discrete cases.- The QR and normal equations solutions on an equally spaced grid of
points in the interval
converge to the solution in
with the same order as the error of the quadrature formulas.
the orthonormal polynomials
Summary
This article has analyzed the polynomial approximation of a real-valued function
with respect to the least-squares norm in different settings:
Three different solution methods for this least-squares problem have been compared:
- The orthogonalization solutions
- The normal equations solution in the continuous and discrete settings
All definitions and solution methods were implemented in Mathematica 11.1.
All solution characteristics and their relations were illustrated by symbolic or numeric examples and graphs.
Acknowledgments
The author thanks Alexandra Herzog and Jonas Gienger for critical proofreading and the anonymous referees for valuable improvements of the paper. The paper evolved from a lecture series in numerical analysis, given by the author for ESOC staff and contractors from 2012 to 2016, using Mathematica:
- Lecture #4: Linear Least-Squares Systems
- Lecture #6: Numerical Quadrature
- Lecture #9: Interpolation and Approximation of Functions, Curve and Surface Fitting
References
| [1] | E. Hewitt and K. Stromberg, Real and Abstract Analysis, New York: Springer-Verlag, 1975. |
| [2] | K. Yosida, Functional Analysis, 5th ed., New York: Springer-Verlag, 1978. |
| [3] | P. J. Davis and P. Rabinowitz, Methods of Numerical Integration, 2nd ed., London: Academic Press, 1984. |
| [4] | G. H. Golub and C. F. Van Loan, Matrix Computations, 4th ed., Baltimore: The John Hopkins University Press, 2013. |
| [5] | E. W. Weisstein. “Vandermonde Determinant” from Wolfram MathWorld—A Wolfram Web Resource. mathworld.wolfram.com/VandermondeDeterminant.html. |
| [6] | J. D. Faires and R. Burden, Numerical Methods, 3rd ed., Pacific Grove, CA: Thomson/Brooks/Cole, 2003. |
| G. Gienger, “Polynomial |
|
About the Author
2011–2016 ESA/ESOC research and technology management office
2010–2011 ESOC navigation support office
1987–2009 Mathematical analyst in ESOC Flight Dynamics division; supported more than 20
space missions
1988 Received Dr. rer. nat. from Heidelberg University, Faculty of Science and Mathematics
1984–1987 Teaching assistant at University of Giessen
1982–1984 Research scientist at Heidelberg University
1975–1981 Studied mathematics and physics at Heidelberg University
Gottlob Gienger
European Space Operations Centre ESOC
Research and Technology Management Office OPS-GX
Robert-Bosch-Strasse 5, 64293 Darmstadt, Germany
Retired staff
Gottlob.Gienger@gmail.com



