We study the distribution of eigenspectra for operators of the form
with self-adjoint boundary conditions on both bounded and unbounded interval domains. With integrable potentials
, we explore computational methods for calculating spectral density functions involving cases of discrete and continuous spectra where discrete eigenvalue distributions approach a continuous limit as the domain becomes unbounded. We develop methods from classic texts in ODE analysis and spectral theory in a concrete, visually oriented way as a supplement to introductory literature on spectral analysis. As a main result of this study, we develop a routine for computing eigenvalues as an alternative to
, resulting in fast approximations to implement in our demonstrations of spectral distribution.
Introduction
We follow methods of the texts by Coddington and Levinson [1] and by Titchmarsh [2] (both publicly available online via archive.org) in our study of the operator
and the associated problem
| (1) |
where
on the interval
with real parameter
and boundary condition
| (2) |
for fixed
, where
. For continuous
(the set of absolutely integrable functions on
), we study the spectral function
associated with (1) and (2) using two main methods: First, following [1], we approximate
by step functions associated with related eigenvalue problems on finite intervals
for some sufficiently large positive
; then, we apply asymptotic solution estimates along with an explicit formula for spectral density
[2]. For some motivation and clarification of terms, we recall a major application: For certain solutions
of (1) and (2) and for any
(the set of square-integrable functions on
), a corresponding solution to (1) may take the form
![]()
where
![]()
(in a sense described in Theorem 3.1 of Chapter 9 [1]); here,
is said to be a spectral transform of
. By way of such spectral transforms, the differential operator
may be represented alternatively in the integral form
![]()
where
induces a measure by which
(roughly, the set of square-integrable functions when integrated against
) and by which Parseval’s equality holds. Typical examples are the complete set of orthogonal eigenfunctions
for
and the corresponding Fourier sine transform in the limiting case
(cf. Chapter 9, Section 1 [1]).
For a fixed, large finite interval
, we consider the problem (1), (2) along with the boundary condition
| (3) |
(
), which together admit an eigensystem with correspondence
![]()
where the eigenvalues
satisfying
and where the eigenfunctions
form a complete basis for
. Since the associated spectral function
is a step function with jumps at the various
, we first estimate these
by way of a related equation arising from Prüfer (phase-space) variables and compute the corresponding jumps
.
Then, we use interpolation to approximate the continuous spectral function
using data from a case of large
at points
and using
| (4) |
imposing the condition
for all
.
We compare our results with those of a well-known formula [2] appropriate to our case on
, which we outline as follows: For fixed
, let
be the solution to (1) with boundary values
![]()
for which the asymptotic formula
| (5) |
holds as
. Then we have
| (6) |
from Section 3.5 [2].
Finally, in the last section, we apply the above techniques to extend our study to operators on large domains
and on
, where spectral matrices take the place of spectral functions as a matrix analog of spectral transforms on these types of intervals (cf. equation (5.5) [1]). The techniques are described in detail below, but it is of particular interest that our computations uncover an interesting pattern in a discrete-spectrum case, as we are forced to reformulate our approach according to certain eigen-subspaces involved: our desired spectral approximations are resolved by way of an averaging procedure in forming Riemann sums.
Various sections of Chapters 7–9 [1] (see also [3] and related articles) present useful introductory discussion applied to material presented in this article; yet, with our focus on equations (1)–(6), one may proceed given basic understanding of Riemann–Stieltjes integration along with knowledge of ordinary differential equations and linear algebra, commensurate with (say) the use of
and
.
An Eigenvalue Estimator
We compute eigenvalues by first computing solutions
on
to the following, arising from Prüfer variables (equation 2.4, Chapter 8 [1]):
| (7) |
Here,
, where
is a nontrivial solution to (1), (2) and (3) and
satisfies
| (8) |
for positive integers
. We interpolate to approximate such solutions as an efficient means to invert (8) in the variable
. And we use the following function on (7) throughout this article.

Consider an example with
,
, and potential
for parameter
with
,
, in the case
,
.
![]()
We create an interpolation approximation for eigenvalues
.

It is instructive to graphically demonstrate the theory behind this method. Here, we consider the eigenvalues as those values of
where the graph of
intersects the various lines
as we use
to find
(or
), our maximum index
, depending on
.
![]()

We choose these boundary conditions so that we may compare our results with those of
applied to the corresponding problem (1) and (2) using
.
![]()
![]()
![]()
![]()
We now compare and contrast the methods in this case. The percent differences of the corresponding eigenvalues are all less than 0.2%, even within our limits of accuracy.
![]()
![]()
In contrast, our interpolation method allows some direct control of which eigenvalues are to be computed, whereas
(in the default setting) outputs a list up to 39 values, starting from the first. Moreover, our method admits nonhomogeneous boundary conditions, where
admits only homogeneous conditions, Dirichlet or Neumann.
Spectral Density: Discrete Approximation
We proceed to build our approximate spectral density function
for the problem (1) and (2) on
with the same potential
as above. We compute eigenvalues likewise but now on a larger interval
for
and with nonhomogeneous boundary conditions, say given by
,
(albeit
does not depend on
).
![]()
We compute eigenvalues via our interpolation method and compute a minimum
(or
) as well as a maximum index so as to admit only positive eigenvalues;
is supported on
and negative eigenvalues result in dubious approximations by
.

We now compute the values
.


Fitting Method
We now apply the method of [2] as outlined in equation (6). We use
to include data from an interval near the endpoint
that includes at least one half-period of the period of the fitting functions
and
.

The function
may return non-numerical results among the first few, in which case we recommend that either
or
be readjusted or that
be set large enough to disregard such results.
We now compare our results of the discrete and continuous (asymptotic fit) spectral density approximations.


We compare the results by plotting percent differences, all being less than 0.1%.


Check with Exact Calculation
We chose
as above because, in part, the solutions can be computed in terms of well-known
(modified Bessel) functions. Replacing
by
, for
, the solutions are linear combinations of
![]() |
(9) |
From asymptotic estimates (cf. equation 9.6.7 [4]), we see that the former is dominant and the latter is recessive as
when
. Then, from Chapter 9 [1], equation 2.13 and Theorem 3.1, we obtain the density function by computing
| (10) |
where
is a solution as above and
is a solution with boundary values
,
. (Here,
is commonly known as the Titchmarsh–Weyl
-function.) In the following code, we produce the density function in exact form by replacing functions from (9), the dominant by 1 and the recessive by 0, to compute the inside limit and thereafter simply allowing
to be real.
![]()

![]()

We likewise compare the exact formula for the continuous spectrum with the discrete results, noting that the exact graph appears to essentially be the same as that obtained by our asymptotic fitting method (not generally expecting the fits to be accurate for small
!).


Extension to Unbounded Domains: A Proof of Concept
For the operator
we now extend our study to large domains
in the discrete-spectrum case and to the domain
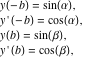
in the continuous-limit case. We choose an odd function potential of the form
for positive constants
,
. We focus on the spectral density associated with specific boundary values at
and an associated pair of solutions to (1): namely, we consider expansions in the pair
and
such that
![]() |
(11) |
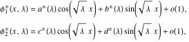
We apply the above computational methods to the analytical constructs from Chapter 5 [1] in both the discrete and continuous cases. First, for the discrete case, we compute spectral matrices associated with self-adjoint boundary-value problems and the pair as in (11): We estimate eigenvalues
for an alternative two-point boundary-value problem on
for (moderately) large
to compute the familiar jumps of the various components
. These components induce measures that appear in the following form of Parseval’s equality for square-integrable functions
on
(taken in a certain limiting sense):

(real-valued case). Second, we compute the various densities as limits as
by the formulas
![]() |
(12) |
where
and
are certain limits of
-functions, related to equation (10), but for our ODE problem on domains
and
, respectively. The densities are computed by procedures more elaborate than (6), as discussed later. Then, we compare results of the discrete case like in (4), approximating
| (13) |
Discrete Case
After choosing (self-adjoint) boundary conditions (of which the limits
happen to be independent)
![]() |
(14) |
on an interval
, we estimate eigenvalues and compute coefficients
,
from the linear combinations
![]()
for the associated orthonormal (complete) set of eigenfunctions
;
, whereby
![]()
(real-valued case). Here, the functions
result by normalizing eigenfunctions
satisfying (14) so that we obtain

We are ready to demonstrate. Let us choose
,
and
,
(arbitrary). Much of the procedure follows as above, with minor modification, as we include
to obtain the values
and
(the next result may take around three minutes on a laptop).

We now approximate the density functions by plotting
where
| (15) |
(for certain
) as we compute the difference quotients at the various jumps, over even and odd indices separately, and assign the corresponding sums
to the midpoints
of corresponding intervals
.

We give the plots below, in comparison with those of the continuous spectra, and give a heuristic argument in the Appendix as to why this approach works.
Continuous Case
First, we apply the asymptotic fitting method using the solutions
and
. Here, we have to compute full complex-valued formulas for the corresponding
-functions (cf. Section 5.7 [2]) where a slight modification of the derivation of
, via a change of variables and a complex conjugation, results in
(See Appendix).

We now compare the result of the discrete and asymptotic fitting methods for the elements
.


Appendix
We have deferred some discussion on our use of
, comparison of eigenvalue computations, discrete eigenspace decomposition and Weyl
-functions to this section.
First, we have used
to suppress messages warning that some solutions may not be found. From Chapter 8 [1], we expect unique solutions since the functions
are strictly increasing. We have also used
to suppress various messages from
and other related functions regarding small values of
to be expected with short-range potentials and large domains.
Second, our formulation of
and the midpoints
as in (15) arises from a decomposition of the eigenspace by even and odd indices. We motivate this decomposition by an example plot of the values
, where the dichotomous behavior is quite pronounced, certainly for large
.


We are thus inspired to compute the quotients over even and odd indices separately. Then, we consider, say, a relevant expression from Parseval’s equality: for appropriate Fourier coefficients
,
, associated with respective solutions
, we write
![]()
We suppose that
and
for the corresponding transforms
in the limit
. Of course, a rigorous argument is beyond the scope of this article.
Finally, we elaborate on the calculations of the
-functions
and
: Given the asymptotic expressions

as
(resp.), we follow Section 5.7 of [2], making changes as needed, with a modification via complex conjugation (
, say) for
to arrive at
![]()
Acknowledgments
The author would like to thank the members of MAST for helpful and motivating discussions concerning preliminary results of this work in particular and Mathematica computing in general.
References
| [1] | E. A. Coddington and N. Levinson, Theory of Ordinary Differential Equations, New York: McGraw-Hill, 1955. archive.org/details/theoryofordinary00codd. |
| [2] | E. C. Titchmarsh, Eigenfunction Expansions Associated with Second-Order Differential Equations, 2nd ed., London: Oxford University Press, 1962. archive.org/details/eigenfunctionexp0000titc. |
| [3] | E. W. Weisstein. “Operator Spectrum” from MathWorld–A Wolfram Web Resource. mathworld.wolfram.com/OperatorSpectrum.html. |
| [4] | M. Abramowitz and I. A. Stegun, eds., Handbook of Mathematical Functions with Formulas, Graphs, and Mathematical Tables, New York: Wiley, 1972. |
| C. Winfield, “From Discrete to Continuous Spectra,” The Mathematica Journal, 2019. https://doi.org/10.3888/tmj.21-3. | |
About the Author
C. Winfield holds an MS in physics and a PhD in mathematics and is a member of the Madison Area Science and Technology amateur science organization, based in Madison, WI.
Christopher J. Winfield
Madison Area Science and Technology
3783 US Hwy. 45
Conover, WI 54519
cjwinfield2005@yahoo.com



